Pada bagian ini silakan Anda mendiskusikan Principal Axes of a Rigid Body. Silakan Anda eksplorasi materi terkait ini pada berbagai referensi/sumber. Jika ada pertanyaan/permasalahan silakan disampaikan pada forum ini. Terima kasih.
Ayo Diskusi: Principal Axes of a Rigid Body
Nama : Ririn Oriska
Npm : 2013022010
Izin bertanya,
Sumbu tubuh digunakan untuk membuat tensor inersia diagonal, sumbu tubuh ini merupakan Sumbu Utama. Bagaimana cara menemukan sumbu utama?
Terimakasih
Npm : 2013022010
Izin bertanya,
Sumbu tubuh digunakan untuk membuat tensor inersia diagonal, sumbu tubuh ini merupakan Sumbu Utama. Bagaimana cara menemukan sumbu utama?
Terimakasih
In reply to Ririn Oriska
Re: Ayo Diskusi: Principal Axes of a Rigid Body
Nama : Dian Permata Hati
NPM : 2013022036
Izin menjawab,
Diketahui elemen-elemen tensor inersia (elemen momen inersia dan elemen perkalian inersia) benda tegar dalam sembarang sumbu koordinat yang berpusat di O
Selanjutnya menetukan sumbu-sumbu utama benda tegar di titik O tersebut
Jadi, kita harus membuat semua elemen perkalian inersia menjadi nol
Proses ini dosebut diagonalisasi tensor matriks
Kita dapat menggunakan fakta bahwa jika sumbu rotasi merupakan sumbu utama, mala L searah dengan ω.
Jika l merupakan momen inersia terhadap sebuah sumbu, maka
NPM : 2013022036
Izin menjawab,
Diketahui elemen-elemen tensor inersia (elemen momen inersia dan elemen perkalian inersia) benda tegar dalam sembarang sumbu koordinat yang berpusat di O
Selanjutnya menetukan sumbu-sumbu utama benda tegar di titik O tersebut
Jadi, kita harus membuat semua elemen perkalian inersia menjadi nol
Proses ini dosebut diagonalisasi tensor matriks
Kita dapat menggunakan fakta bahwa jika sumbu rotasi merupakan sumbu utama, mala L searah dengan ω.
Jika l merupakan momen inersia terhadap sebuah sumbu, maka

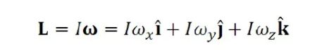
Selanjutnya komponen L dapat dituliskan :

Terimakasih
In reply to First post
Re: Ayo Diskusi: Principal Axes of a Rigid Body
Nama : Sholea mutiara
Npm : 2013022048
Izin bertanya,
Sebutkan syarat yang harus dimiliki ketika ingin menentukan sumbu utama yang dimiliki oleh benda kaku?
Terima kasih
Npm : 2013022048
Izin bertanya,
Sebutkan syarat yang harus dimiliki ketika ingin menentukan sumbu utama yang dimiliki oleh benda kaku?
Terima kasih
In reply to Sholea mutiara 2013022048
Re: Ayo Diskusi: Principal Axes of a Rigid Body
Nama: Atikkotunnajiah
Npm: 2013022056
Izin menjawab,
Adapun syarat yang harus dipenuhi yaitu resultan dari semua gaya yang bekerja pada benda tegar harus sama dengan nol (∑F = 0) , dan resultan torsi yang bekerja pada benda tegar harus sama dengan nol (∑T = 0).
Terimakasih
Npm: 2013022056
Izin menjawab,
Adapun syarat yang harus dipenuhi yaitu resultan dari semua gaya yang bekerja pada benda tegar harus sama dengan nol (∑F = 0) , dan resultan torsi yang bekerja pada benda tegar harus sama dengan nol (∑T = 0).
Terimakasih
Nama : Pita Nadia
NPM : 2013022008
Izin bertanya,
Bagaimana cara menentukan sumbu utama dengan mendiagonalisasi matriks momen inersia?
Terima kasih
NPM : 2013022008
Izin bertanya,
Bagaimana cara menentukan sumbu utama dengan mendiagonalisasi matriks momen inersia?
Terima kasih
In reply to Pita Nadia 2013022008
Re: Ayo Diskusi: Principal Axes of a Rigid Body
Nama : Nadiyah Safitri
NPM : 2013022046
Izin menjawab,
Menentukan Sumbu Utama dengan Mendiagonalkan Momen Inersia Matrix, misalkan tubuh kaku tidak memiliki sumbu simetri. Meski begitu, tensor yang mewakili momen inersia tubuh seperti itu, ditandai dengan nyata, simetris 3 x 3 matriks yang dapat didiagonalisasi. Elemen diagonal yang dihasilkan adalah nilai-nilai momen inersia utama dari tubuh kaku. Sumbu sistem koordinat, di mana matriks ini adalah diagonal, adalah sumbu utama dari tubuh, karena semua produk inersia telah lenyap. Dengan demikian, menemukan sumbu utama dan momen inersia dari badan kaku, simetris atau tidak sesuai, sama saja dengan diagonalisasi momen inersia matriks.Ada sejumlah cara untuk diagonalisasi nyata, matrix simetris2, dengan cara yang cukup standar. Pertama, mari kita misalkan bahwa kita telah menemukan sistem koordinat di mana semua produk inersia lenyap dan momen yang dihasilkan inersia tensor sekarang diwakili oleh matriks diagonal dengan koefisien diagonal adalah saat-saat utama inersia. Biarkan ei menjadi vektor satuan yang mewakili sistem koordinat ini, yaitu, mereka menunjuk sepanjang arah sepanjang tiga sumbu utama dari tubuh kaku. Jika momen inersia tensor adalah "dihiasi" dengan salah satu vektor satuan ini, hasilnya adalah setara dengan perkalian sederhana dari vektor satuan dengan kuantitas skalar.
I . ei = λ ei
Terima kasih
NPM : 2013022046
Izin menjawab,
Menentukan Sumbu Utama dengan Mendiagonalkan Momen Inersia Matrix, misalkan tubuh kaku tidak memiliki sumbu simetri. Meski begitu, tensor yang mewakili momen inersia tubuh seperti itu, ditandai dengan nyata, simetris 3 x 3 matriks yang dapat didiagonalisasi. Elemen diagonal yang dihasilkan adalah nilai-nilai momen inersia utama dari tubuh kaku. Sumbu sistem koordinat, di mana matriks ini adalah diagonal, adalah sumbu utama dari tubuh, karena semua produk inersia telah lenyap. Dengan demikian, menemukan sumbu utama dan momen inersia dari badan kaku, simetris atau tidak sesuai, sama saja dengan diagonalisasi momen inersia matriks.Ada sejumlah cara untuk diagonalisasi nyata, matrix simetris2, dengan cara yang cukup standar. Pertama, mari kita misalkan bahwa kita telah menemukan sistem koordinat di mana semua produk inersia lenyap dan momen yang dihasilkan inersia tensor sekarang diwakili oleh matriks diagonal dengan koefisien diagonal adalah saat-saat utama inersia. Biarkan ei menjadi vektor satuan yang mewakili sistem koordinat ini, yaitu, mereka menunjuk sepanjang arah sepanjang tiga sumbu utama dari tubuh kaku. Jika momen inersia tensor adalah "dihiasi" dengan salah satu vektor satuan ini, hasilnya adalah setara dengan perkalian sederhana dari vektor satuan dengan kuantitas skalar.
I . ei = λ ei
Terima kasih
In reply to First post
Re: Ayo Diskusi: Principal Axes of a Rigid Body
Nama : Insani Triana
NPM : 2013022002
Izin bertanya,
Momen Inersia selalu relatif terhadap sumbu tertentu. Lalu, mengapa Tubuh kaku yang sama biasanya akan memiliki Momen Inersia yang berbeda untuk sumbu yang berbeda, bahkan ketika melalui pusat massanya sendiri?
Terima kasih
NPM : 2013022002
Izin bertanya,
Momen Inersia selalu relatif terhadap sumbu tertentu. Lalu, mengapa Tubuh kaku yang sama biasanya akan memiliki Momen Inersia yang berbeda untuk sumbu yang berbeda, bahkan ketika melalui pusat massanya sendiri?
Terima kasih
In reply to Insani Triana 2013022002
Re: Ayo Diskusi: Principal Axes of a Rigid Body
Nama : Jestica Dwi Cahyani Utari
NPM : 2013022054
Izin menjawab,
Momen Inersia adalah properti dari tubuh kaku. Momen Inersia selalu relatif terhadap sumbu tertentu. Tubuh kaku yang sama biasanya akan memiliki momen inersia yang berbeda untuk sumbu yang berbeda, bahkan melalui pusat massanya sendiri. Menjadi skalar, adalah aditif, sehingga momen inersia dari tubuh komposit adalah jumlah dari momen inersia dari bagian-bagiannya (relatif terhadap sumbu yang sama).
Terima kasih
NPM : 2013022054
Izin menjawab,
Momen Inersia adalah properti dari tubuh kaku. Momen Inersia selalu relatif terhadap sumbu tertentu. Tubuh kaku yang sama biasanya akan memiliki momen inersia yang berbeda untuk sumbu yang berbeda, bahkan melalui pusat massanya sendiri. Menjadi skalar, adalah aditif, sehingga momen inersia dari tubuh komposit adalah jumlah dari momen inersia dari bagian-bagiannya (relatif terhadap sumbu yang sama).
Terima kasih
In reply to First post
Re: Ayo Diskusi: Principal Axes of a Rigid Body
Nama : Chairani Kartini S.Harry
NPM : 2013022028
Bagaimana menentukan arah kosines dari sumbu dimana momen inersia I1. Arah yang berkaitan dengan I2 dan I3?
Terimakasih
NPM : 2013022028
Bagaimana menentukan arah kosines dari sumbu dimana momen inersia I1. Arah yang berkaitan dengan I2 dan I3?
Terimakasih
In reply to Chairani Kartini S.Harry
Re: Ayo Diskusi: Principal Axes of a Rigid Body
Nama : Fitri Nur Indah Sari
NPM : 2013022032
Izin menjawab,
Ekspansi dari determinan menjurus pada pers sekular atau karakteristik untuk I yaitu kubik. Masing-masing dari tiga akar berkaitan dengan sebuah momen inersia terhadap suatu sumbu utama tertentu. Nilai I1, I2, dan I3 adalah momen inersia utama. Jika benda berotasi terhadap sumbu yang berkaitan dengan momen I1, maka didapatkan persamaan
L = I1.ω
baik ω maupun L mempunyai arah sepanjang sumbu tersebut. Arah dari ω bergantung pada sistem koordinat benda yang kemudian arahnya sama dengan sumbu utama terkait dengan I1.
Kemudian kita dapat menentukan arah dari sumbu utama dengan dengan mensubsitusikan I1 untuk I dalam persamaan berikut
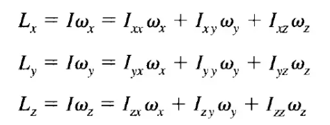
(I11- I)ω1 + I12 ω2 + I13 ω3 = 0
I21 ω1 + (I22-I) ω2 + I23 ω3 = 0
I31- ω1 + I32 ω2 + (I33-I) ω3 = 0
Dan penentuan rasio komponen vektor kecepatan sudut ω1 : ω2 : ω3
Dengan demikian kita menentukan arah kosines dari sumbu dimana momen inersia I1. Arah yang berkaitan dengan I2 dan I3 dapat dicari dengan cara yang sama.
Mohon maaf apabila masih kurang tepat, terima kasih
NPM : 2013022032
Izin menjawab,
Ekspansi dari determinan menjurus pada pers sekular atau karakteristik untuk I yaitu kubik. Masing-masing dari tiga akar berkaitan dengan sebuah momen inersia terhadap suatu sumbu utama tertentu. Nilai I1, I2, dan I3 adalah momen inersia utama. Jika benda berotasi terhadap sumbu yang berkaitan dengan momen I1, maka didapatkan persamaan
L = I1.ω
baik ω maupun L mempunyai arah sepanjang sumbu tersebut. Arah dari ω bergantung pada sistem koordinat benda yang kemudian arahnya sama dengan sumbu utama terkait dengan I1.
Kemudian kita dapat menentukan arah dari sumbu utama dengan dengan mensubsitusikan I1 untuk I dalam persamaan berikut
(I11- I)ω1 + I12 ω2 + I13 ω3 = 0
I21 ω1 + (I22-I) ω2 + I23 ω3 = 0
I31- ω1 + I32 ω2 + (I33-I) ω3 = 0
Dan penentuan rasio komponen vektor kecepatan sudut ω1 : ω2 : ω3
Dengan demikian kita menentukan arah kosines dari sumbu dimana momen inersia I1. Arah yang berkaitan dengan I2 dan I3 dapat dicari dengan cara yang sama.
Mohon maaf apabila masih kurang tepat, terima kasih
Nama : Neo Safitri
Npm : 2013022006
Izin bertanya,
Jelaskan, Bagaimana cara menentukan sumbu utama?
Terimakasih.
Npm : 2013022006
Izin bertanya,
Jelaskan, Bagaimana cara menentukan sumbu utama?
Terimakasih.
In reply to Neo Safitri 2013022006
Re: Ayo Diskusi: Principal Axes of a Rigid Body
Nama : Sihfa Zhainita
NPM : 2013022062
Izin menjawab,
1. Diketahui elemen-elemen tensor inersia benda tegar dalam sembarang sumbu koordinat yang berpusat di O.
2. Selanjutnya kita ingin menentukan sumbu-sumbu utama benda tegar di titik O tersebut.
3. Jadi kita harus membuat semua elemen perkalian inersia menjadi nol.
4. Proses ini disebut diagonalisasi tensor matriks.
5. Kita dapat menggunakan fakta bahwa jika sumbu rotasi merupakan sumbu utama makan L searah dengan.
Terimakasih
NPM : 2013022062
Izin menjawab,
1. Diketahui elemen-elemen tensor inersia benda tegar dalam sembarang sumbu koordinat yang berpusat di O.
2. Selanjutnya kita ingin menentukan sumbu-sumbu utama benda tegar di titik O tersebut.
3. Jadi kita harus membuat semua elemen perkalian inersia menjadi nol.
4. Proses ini disebut diagonalisasi tensor matriks.
5. Kita dapat menggunakan fakta bahwa jika sumbu rotasi merupakan sumbu utama makan L searah dengan.
Terimakasih
Nama : Latia Merinda
NPM : 2013022026
Izin bertanya
Mengapa tiga sumbu koordinat yang saling tegak lurus bertemu disebuah titik dapat membentuk sekumpulan sumbu sumbu utama?
Terimakasih
NPM : 2013022026
Izin bertanya
Mengapa tiga sumbu koordinat yang saling tegak lurus bertemu disebuah titik dapat membentuk sekumpulan sumbu sumbu utama?
Terimakasih
Nama : Alfia Rosa
NPM : 2013022040
Izin menjawab,
Jadi, tiga sumbu koordinat yang saling tegak lurus bertemu di sebuah titik (misalnya O) dapat dikatakan membentuk sekumpulan sumbu-sumbu utama apabila seluruh elemen perkalian inersia dari benda tegar akan bernilai nol jika menggunakan sumbu-sumbu tersebut. Titik O yang merupakan titik perpotongan ketiga sumbu utama tersebut dikatakan titik utama, dan bidang-bidang yang dibentuk oleh dua sumbu utama disebut bidang utama.
Terima kasih
NPM : 2013022040
Izin menjawab,
Jadi, tiga sumbu koordinat yang saling tegak lurus bertemu di sebuah titik (misalnya O) dapat dikatakan membentuk sekumpulan sumbu-sumbu utama apabila seluruh elemen perkalian inersia dari benda tegar akan bernilai nol jika menggunakan sumbu-sumbu tersebut. Titik O yang merupakan titik perpotongan ketiga sumbu utama tersebut dikatakan titik utama, dan bidang-bidang yang dibentuk oleh dua sumbu utama disebut bidang utama.
Terima kasih
Nama : Umi Nur Aini
NPM : 2013022012
Izin bertanya,
Mengapa sumbu utama bisa untuk setiap benda tegar di sembarang titik dalam ruang?
Terima kasih
NPM : 2013022012
Izin bertanya,
Mengapa sumbu utama bisa untuk setiap benda tegar di sembarang titik dalam ruang?
Terima kasih
In reply to Umi Nur Aini 2013022012
Re: Ayo Diskusi: Principal Axes of a Rigid Body
Nama : Gustin Wardani
NPM : 2013022030
Izin menjawab,
Benda tegar adalah benda yang tidak mengalami perubahan bentuk setelah diberikan gaya rotasi. Selama berotasi, partikel-partikel di dalam benda tegar bergerak dalam ruang yang memiliki lintasan lingkaran sehingga posisinya tetap relatif satu sama lain. Proses ini membuat benda tegar tidak memiliki energi kinetis dalam gerak translasi. Acuan gerakan melingkar pada benda tegar adalah momen inersia.
Terima Kasih
NPM : 2013022030
Izin menjawab,
Benda tegar adalah benda yang tidak mengalami perubahan bentuk setelah diberikan gaya rotasi. Selama berotasi, partikel-partikel di dalam benda tegar bergerak dalam ruang yang memiliki lintasan lingkaran sehingga posisinya tetap relatif satu sama lain. Proses ini membuat benda tegar tidak memiliki energi kinetis dalam gerak translasi. Acuan gerakan melingkar pada benda tegar adalah momen inersia.
Terima Kasih
Nama : Tri Lestari
NPM : 2013022058
Izin bertanya,
Dalam menentukan sumbu utama salasatu nya adalah mengetahui elemen-elemen tersor inersi. Yang saya ingi tanyakan apakah yang di maksud dengan elemen tersor inersia tersebut?
Terimakasih
NPM : 2013022058
Izin bertanya,
Dalam menentukan sumbu utama salasatu nya adalah mengetahui elemen-elemen tersor inersi. Yang saya ingi tanyakan apakah yang di maksud dengan elemen tersor inersia tersebut?
Terimakasih
In reply to Tri Lestari
Re: Ayo Diskusi: Principal Axes of a Rigid Body
Nama: Rosa Salsabila Latifah
Npm: 2013022050
Izin menjawab,
Elemen Tensor Inersia merupakan dasar daripada perumusan benda benda kaku (benda-benda tegar) di dalam mekanika. Tensor Inersia ini muncul dalam rumus momentum sudut dan energi kinetik dari suatu benda yang berputar.
Terima kasih.
Npm: 2013022050
Izin menjawab,
Elemen Tensor Inersia merupakan dasar daripada perumusan benda benda kaku (benda-benda tegar) di dalam mekanika. Tensor Inersia ini muncul dalam rumus momentum sudut dan energi kinetik dari suatu benda yang berputar.
Terima kasih.
In reply to First post
Re: Ayo Diskusi: Principal Axes of a Rigid Body
Nama : Putri Asnaul Karimah
NPM : 2013022014
Izin bertanya,
Apakah benda-benda tegar terkait dengan tubuh kaku?
Terimakasih
NPM : 2013022014
Izin bertanya,
Apakah benda-benda tegar terkait dengan tubuh kaku?
Terimakasih
In reply to Putri Asnaul Karimah 2013022014
Re: Ayo Diskusi: Principal Axes of a Rigid Body
Nama : Fadiyah Farah Khoirunnisaa
Npm: 2013022016
Izin menjawab,
Keseimbangan benda-benda yang kaku terkait erat dengan apa yang disebut impuls. Berdasarkan kata-kata yang membentuk keseimbangan tubuh kaku, mereka terdiri dari dua bagian, yaitu keseimbangan dan tubuh kaku.
Ini adalah alasan mengapa bentuk selalu diperbaiki, meskipun gaya diberikan padanya. Ketika benda yang kaku mengalami gerakan translasi atau rotasi, bentuknya tidak berubah. Artinya, benda kaku memiliki bentuk tetap. Perbedaan kaku ini umumnya dalam bentuk padatan. Beberapa contoh benda yang dianggap terkandung dalam benda kaku adalah bola, kursi, meja dan lainnya. Oleh karena itu, keseimbangan objek yang sama dapat diartikan sebagai objek yang berada dalam keadaan seimbang. Ekuilibrium benda tegar adalah keadaan di mana momentum benda tegar adalah nol.
Nilai nol menunjukkan keadaan keseimbangan di sini. Jika suatu benda kaku pada awalnya diam, ia tetap diam (sambil mempertahankan kondisinya). Namun, jika benda tegar pada awalnya dalam keadaan gerak dan gerakannya pada kecepatan konstan, maka benda tegar terus mengalami gerak kecepatan konstan.
Terimakasih.
Npm: 2013022016
Izin menjawab,
Keseimbangan benda-benda yang kaku terkait erat dengan apa yang disebut impuls. Berdasarkan kata-kata yang membentuk keseimbangan tubuh kaku, mereka terdiri dari dua bagian, yaitu keseimbangan dan tubuh kaku.
Ini adalah alasan mengapa bentuk selalu diperbaiki, meskipun gaya diberikan padanya. Ketika benda yang kaku mengalami gerakan translasi atau rotasi, bentuknya tidak berubah. Artinya, benda kaku memiliki bentuk tetap. Perbedaan kaku ini umumnya dalam bentuk padatan. Beberapa contoh benda yang dianggap terkandung dalam benda kaku adalah bola, kursi, meja dan lainnya. Oleh karena itu, keseimbangan objek yang sama dapat diartikan sebagai objek yang berada dalam keadaan seimbang. Ekuilibrium benda tegar adalah keadaan di mana momentum benda tegar adalah nol.
Nilai nol menunjukkan keadaan keseimbangan di sini. Jika suatu benda kaku pada awalnya diam, ia tetap diam (sambil mempertahankan kondisinya). Namun, jika benda tegar pada awalnya dalam keadaan gerak dan gerakannya pada kecepatan konstan, maka benda tegar terus mengalami gerak kecepatan konstan.
Terimakasih.
In reply to Putri Asnaul Karimah 2013022014
Re: Ayo Diskusi: Principal Axes of a Rigid Body
Nama: Annisa Dira
NPM: 2013022004
Izin menjawab, Dalam fisika , suatu benda tegar (juga dikenal sebagai objek yang kaku) adalah padat tubuh di mana deformasi adalah nol atau lebih kecil dapat diabaikan. The jarak antara dua diberikan poin pada tubuh kaku tetap konstan dalam waktu terlepas dari eksternal kekuatan atau saat-saat diberikan di atasnya. Tubuh kaku biasanya dianggap sebagai distribusi yang kontinu dari massa.
Terima kasih
NPM: 2013022004
Izin menjawab, Dalam fisika , suatu benda tegar (juga dikenal sebagai objek yang kaku) adalah padat tubuh di mana deformasi adalah nol atau lebih kecil dapat diabaikan. The jarak antara dua diberikan poin pada tubuh kaku tetap konstan dalam waktu terlepas dari eksternal kekuatan atau saat-saat diberikan di atasnya. Tubuh kaku biasanya dianggap sebagai distribusi yang kontinu dari massa.
Terima kasih