Pada bagian ini silakan Anda mendiskusikan Euler's Equations of Motion of a Rigid Body. Silakan Anda eksplorasi materi terkait ini pada berbagai referensi/sumber. Jika ada pertanyaan/permasalahan silakan disampaikan pada forum ini. Terima kasih.
Ayo Diskusi: Euler's Equations of Motion of a Rigid Body
In reply to First post
Re: Ayo Diskusi: Euler's Equations of Motion of a Rigid Body
by Ririn Oriska -
Nama : Ririn Oriska
Npm : 2013022010
Izin bertanya,
Pada persamaan Euler, terdapat gaya Coriolis. Gaya ini menyebabkan lintasan menjadi lengkung diatas bidang yang tegak lurus, mengapa bisa begitu? jelaskan
Terimakasih
Npm : 2013022010
Izin bertanya,
Pada persamaan Euler, terdapat gaya Coriolis. Gaya ini menyebabkan lintasan menjadi lengkung diatas bidang yang tegak lurus, mengapa bisa begitu? jelaskan
Terimakasih
In reply to Ririn Oriska
Re: Ayo Diskusi: Euler's Equations of Motion of a Rigid Body
Nama : Pita Nadia
NPM : 2013022008
Izin menjawab,
Aliran udara atau angin dari tekanan tinggi ke tekanan rendah membentuk lintasan lengkung diatas bidang yang tegak lurus.
Terima kasih
NPM : 2013022008
Izin menjawab,
Aliran udara atau angin dari tekanan tinggi ke tekanan rendah membentuk lintasan lengkung diatas bidang yang tegak lurus.
Terima kasih
In reply to Ririn Oriska
Re: Ayo Diskusi: Euler's Equations of Motion of a Rigid Body
Nama : Insani Triana
NPM : 2013022002
Izin menjawab,
Dikutip dari buku Meteorologi Penerbangan dan Pengaruhnya Terhadap Operasi Pesawat Udara–Rajawali Pers yang ditulis oleh Aminarno Budi Pradana (2021: 28), pengertian gaya Coriolis (Coriolis force) adalah gaya yang membelokkan arus udara yang disebabkan oleh rotasi bumi (perputaran bumi pada porosnya).
Akibat gaya Coriolis, di Utara Khatulistiwa, objek yang bergerak ke utara akan dibelokkan ke kanan karena bergerak menuju lokasi dengan kecepatan permukaan yang lebih rendah. Objek yang bergerak ke selatan juga akan dibelokkan ke kanan karena bergerak menuju lokasi dengan kecepatan permukaan yang lebih tinggi.
Akibat rotasi atau pergerakan Bumi pada porosnya, angin yang bergerak di permukaan Bumi akan terpengaruh oleh perputaran ini dan berbelok arahnya. Peristiwa ini disebut efek Coriolis, yaitu fenomena defleksi (pembelokan arah) gerak sebuah benda pada sebuah kerangka acuan yang berputar, khususnya di permukaan Bumi.
Terima kasih
NPM : 2013022002
Izin menjawab,
Dikutip dari buku Meteorologi Penerbangan dan Pengaruhnya Terhadap Operasi Pesawat Udara–Rajawali Pers yang ditulis oleh Aminarno Budi Pradana (2021: 28), pengertian gaya Coriolis (Coriolis force) adalah gaya yang membelokkan arus udara yang disebabkan oleh rotasi bumi (perputaran bumi pada porosnya).
Akibat gaya Coriolis, di Utara Khatulistiwa, objek yang bergerak ke utara akan dibelokkan ke kanan karena bergerak menuju lokasi dengan kecepatan permukaan yang lebih rendah. Objek yang bergerak ke selatan juga akan dibelokkan ke kanan karena bergerak menuju lokasi dengan kecepatan permukaan yang lebih tinggi.
Akibat rotasi atau pergerakan Bumi pada porosnya, angin yang bergerak di permukaan Bumi akan terpengaruh oleh perputaran ini dan berbelok arahnya. Peristiwa ini disebut efek Coriolis, yaitu fenomena defleksi (pembelokan arah) gerak sebuah benda pada sebuah kerangka acuan yang berputar, khususnya di permukaan Bumi.
Terima kasih
In reply to Ririn Oriska
Re: Ayo Diskusi: Euler's Equations of Motion of a Rigid Body
Nama: Annisa Dira
NPM 2013022004
Izin menjawab,
Efek Coriolis dapat terjadi karena dua model pengamatan. Pertama, pengamatan secara diam oleh objek yang bergerak secara rotasi terhadap benda yang bergerak lurus. Kedua, pengamatan terhadap gaya fiktif dalam perputaran bumi. Kedua model pengamatan ini akan menampilkan kutub utara bergerak ke arah kanan sedangkan kutub selatan bergerak ke arah kiri. Perbedaan antara gerakan kutub dan gerakan equator menjadi penyebab perbedaan gerakan ini.[
Terima kasih
NPM 2013022004
Izin menjawab,
Efek Coriolis dapat terjadi karena dua model pengamatan. Pertama, pengamatan secara diam oleh objek yang bergerak secara rotasi terhadap benda yang bergerak lurus. Kedua, pengamatan terhadap gaya fiktif dalam perputaran bumi. Kedua model pengamatan ini akan menampilkan kutub utara bergerak ke arah kanan sedangkan kutub selatan bergerak ke arah kiri. Perbedaan antara gerakan kutub dan gerakan equator menjadi penyebab perbedaan gerakan ini.[
Terima kasih
In reply to First post
Re: Ayo Diskusi: Euler's Equations of Motion of a Rigid Body
Nama : Sholea mutiara
Npm : 2013022048
Izin bertanya,
Apakah Fungsi dan kegunaan dari bentuk persamaan Euler yang dimiliki oleh benda kaku?
Terima kasih
Npm : 2013022048
Izin bertanya,
Apakah Fungsi dan kegunaan dari bentuk persamaan Euler yang dimiliki oleh benda kaku?
Terima kasih
In reply to Sholea mutiara 2013022048
Re: Ayo Diskusi: Euler's Equations of Motion of a Rigid Body
Nama: Atikkotunnajiah
Npm: 2013022056
Izin menjawab,
persamaan rotasi Euler adalah persamaan diferensial biasa orde pertama kuasilinear vektor yang menggambarkan rotasi benda tegar , menggunakan kerangka acuan berputar dengan sumbu tetap pada benda dan sejajar dengan sumbu utama inersia benda
Terimakasih
Npm: 2013022056
Izin menjawab,
persamaan rotasi Euler adalah persamaan diferensial biasa orde pertama kuasilinear vektor yang menggambarkan rotasi benda tegar , menggunakan kerangka acuan berputar dengan sumbu tetap pada benda dan sejajar dengan sumbu utama inersia benda
Terimakasih
In reply to First post
Re: Ayo Diskusi: Euler's Equations of Motion of a Rigid Body
Nama : Insani Triana
NPM : 2013022002
Izin bertanya,
Apa saja persamaan-persamaan dasar dalam fluida bergerak? Dan bagaimana penurunan persamaan euler tersebut?
Terima kasih
Terima kasih
In reply to Insani Triana 2013022002
Re: Ayo Diskusi: Euler's Equations of Motion of a Rigid Body
Nama : Nadiyah Safitri
NPM : 2013022046
Izin menjawab,
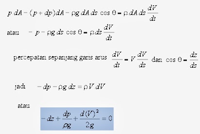
Persamaan persamaan dasar dalam fluida bergerak yakni, persamaan kontinuitas, momentum, bernoulli, persamaan energi (euler), hubungan antara persamaan energi dan hukum termodinamika dan yang terakhir kehilangan energi dan tinggi tekan.
Penurunan persamaan euler :
NPM : 2013022046
Izin menjawab,
Persamaan persamaan dasar dalam fluida bergerak yakni, persamaan kontinuitas, momentum, bernoulli, persamaan energi (euler), hubungan antara persamaan energi dan hukum termodinamika dan yang terakhir kehilangan energi dan tinggi tekan.
Penurunan persamaan euler :

Terima kasih
In reply to First post
Re: Ayo Diskusi: Euler's Equations of Motion of a Rigid Body
Nama : Chairani Kartini S.Harry
NPM : 2013022028
Mengapa Persamaan Euler ini diasumsikan pula sebagai fluida tanpa gesekan?
Terimakasih
NPM : 2013022028
Mengapa Persamaan Euler ini diasumsikan pula sebagai fluida tanpa gesekan?
Terimakasih
In reply to Chairani Kartini S.Harry
Re: Ayo Diskusi: Euler's Equations of Motion of a Rigid Body
by Latia Merinda -
Nama : Latia Merinda
NPM : 2013022026
Izin menjawab
Karena persamaan gerak ini menghubungkan kecepatan, tekanan dan perubahan ketinggian dalam fluida yang tidak viscous. Integrasi persamaan euler untuk aliran non rotasi yang tidak mampat menghasilkan persamaan bernoulli.
Terimakasih
NPM : 2013022026
Izin menjawab
Karena persamaan gerak ini menghubungkan kecepatan, tekanan dan perubahan ketinggian dalam fluida yang tidak viscous. Integrasi persamaan euler untuk aliran non rotasi yang tidak mampat menghasilkan persamaan bernoulli.
Terimakasih
In reply to Chairani Kartini S.Harry
Re: Ayo Diskusi: Euler's Equations of Motion of a Rigid Body
Nama : Elpin Nurul Rahmayani
NPM : 2013022038
Izin menambahkan,
Ketika membahas persamaan Euler, dimana diasumsikan fluida tanpa gesekan sehingga dikatakan mampubalik. Bila suatu proses dilakukan pada suatu benda dan dapat kembali ke keadaan semula itu disebut mampubalik. Sederhananya, karet yang ketika kita tarik merenggang dan akan kembali ke bentuk semula ketika dilepas.
Terimakasih
NPM : 2013022038
Izin menambahkan,
Ketika membahas persamaan Euler, dimana diasumsikan fluida tanpa gesekan sehingga dikatakan mampubalik. Bila suatu proses dilakukan pada suatu benda dan dapat kembali ke keadaan semula itu disebut mampubalik. Sederhananya, karet yang ketika kita tarik merenggang dan akan kembali ke bentuk semula ketika dilepas.
Terimakasih
In reply to First post
Re: Ayo Diskusi: Euler's Equations of Motion of a Rigid Body
Nama : Sihfa Zhainita
NPM : 2013022062
Izin bertanya,
Berdasarkan materi persamaan gerak Euler dari benda kaku. Menurut kalian sebenarnya apa pentingnya mempelajari persamaan gerak Euler bagi kehidupan secara nyata?
Terimakasih
NPM : 2013022062
Izin bertanya,
Berdasarkan materi persamaan gerak Euler dari benda kaku. Menurut kalian sebenarnya apa pentingnya mempelajari persamaan gerak Euler bagi kehidupan secara nyata?
Terimakasih
In reply to Sihfa Zhainita 2013022062
Re: Ayo Diskusi: Euler's Equations of Motion of a Rigid Body
Nama : Neo Safitri
Npm : 2013022006
Izin menjawab,
Jika seseorang mencoba menstabilkan satelit atau pesawat terbang dari rotasi atau umumnya menangani benda yang berputar, maka ia perlu menggunakan persamaan penggaris. Sama seperti hukum kedua newton dalam bentuk F = ma berlaku untuk titik-massa di bawah gaya yang diterapkan, persamaan Euler memperluas hukum yang sama ini untuk memutar benda dengan momen inersia di bawah torsi yang diterapkan.
Terimakasih
Npm : 2013022006
Izin menjawab,
Jika seseorang mencoba menstabilkan satelit atau pesawat terbang dari rotasi atau umumnya menangani benda yang berputar, maka ia perlu menggunakan persamaan penggaris. Sama seperti hukum kedua newton dalam bentuk F = ma berlaku untuk titik-massa di bawah gaya yang diterapkan, persamaan Euler memperluas hukum yang sama ini untuk memutar benda dengan momen inersia di bawah torsi yang diterapkan.
Terimakasih
Nama : Alfia Rosa
NPM : 2013022040
Izin bertanya,
Bagaimana persamaan Euler tentang benda tegar?
Terima kasih
NPM : 2013022040
Izin bertanya,
Bagaimana persamaan Euler tentang benda tegar?
Terima kasih
In reply to Alfia Rosa
Re: Ayo Diskusi: Euler's Equations of Motion of a Rigid Body
Nama : Dian Permata Hati
NPM : 2013022036
Izin menjawab,
persamaan Euler juga dapat digunakan untuk menyelesaikan persamaan Lagrange, sebagai berikut :
NPM : 2013022036
Izin menjawab,
persamaan Euler juga dapat digunakan untuk menyelesaikan persamaan Lagrange, sebagai berikut :

Terimakasih
In reply to First post
Re: Ayo Diskusi: Euler's Equations of Motion of a Rigid Body
by Tri Lestari -
Nama : Tri Lestari
NPM : 2013022058
Izin bertanya,
Bagaimana persamaan euler dalam rumus Euler dinamakan untuk Leonhard Euler?
Terimakasih
NPM : 2013022058
Izin bertanya,
Bagaimana persamaan euler dalam rumus Euler dinamakan untuk Leonhard Euler?
Terimakasih
In reply to Tri Lestari
Re: Ayo Diskusi: Euler's Equations of Motion of a Rigid Body
Nama: Rosa Salsabila Latifah
NPM: 2013022050
Izin menjawab,
Rumus Euler dinamakan untuk Leonard Euler, adalah rumus matematika dalam analisis komplek yang menunjukkan hubungan mendalam antara fungsi trigonometri dan fungsi eksponensial. Sebagai catatan, identitas Euler adalah kasus spesial dari rumus Euler. Rumus Euler menyatakan bahwa, untuk setiap bilangan real x.
eix = cos x + i sin x
Dimana e adalah basis logaritma natural, i adalah unit imajiner atau satuan imajiner, sin dan cos adalah fungsi trigonometri,
Terima kasih.
In reply to Rosa Salsabila Latifah 2013022050
Re: Ayo Diskusi: Euler's Equations of Motion of a Rigid Body
Nama : Fadiyah Farah Khoirunnisaa
Npm: 2013022016
Izin menambahkan,
Rumus Euler dibuktikan (dalam bentuk yang tidak jelas) untuk pertama kalinya oleh Roger Cotes pada 1714, kemudian ditemukan kembali dan dipopulerkan oleh Euler pada 1748. Tidak satu pun dari orang orang melihat interpretasi geometri dari rumus: pandangan bilangan kompleks sebagai titik di bidang muncul hanya sekitar 50 tahun kemudian (lihat Caspar Wessel).
Npm: 2013022016
Izin menambahkan,
Rumus Euler dibuktikan (dalam bentuk yang tidak jelas) untuk pertama kalinya oleh Roger Cotes pada 1714, kemudian ditemukan kembali dan dipopulerkan oleh Euler pada 1748. Tidak satu pun dari orang orang melihat interpretasi geometri dari rumus: pandangan bilangan kompleks sebagai titik di bidang muncul hanya sekitar 50 tahun kemudian (lihat Caspar Wessel).
Dalam matematika, rumus Euler dinamakan untuk Leonhard Euler, adalah rumus matematika dalam analisis kompleks yang menunjukkan hubungan mendalam antara fungsi trigonometri dan fungsi eksponensial. Sebagai catatan, identitas euler adalah kasus spesial dari rumus Euler. Rumus Euler menyatakan bahwa, untuk setiap bilangan real ,
dimana adalah basis logaritma natural,
adalah unit imajiner atau satuan imajiner ,
dan
adalah fungsi trigonometri. Richard Feynman menyebut rumus Euler sebagai "our jewel" dan "rumus terhebat dalam matematika."
Terimakasih.
In reply to First post
Re: Ayo Diskusi: Euler's Equations of Motion of a Rigid Body
Nama : Putri Asnaul Karimah
NPM : 2013022014
Izin bertanya,
Bagaimana persamaan Euler-Lagrange diturunkan?
Terimakasih
NPM : 2013022014
Izin bertanya,
Bagaimana persamaan Euler-Lagrange diturunkan?
Terimakasih
In reply to Putri Asnaul Karimah 2013022014
Re: Ayo Diskusi: Euler's Equations of Motion of a Rigid Body
Nama : Gustin Wardani
NPM : 2013022030
Izin menjawab,
Persamaan Euler-Lagrange merupakan persamaan yang berasal dari reformulasi Hukum Newton yang memudahkan untuk semua koordinat. Persamaan Euler-Lagrange dapat diturunkan melalui Prinsip D’Alembert, dengan menerapkan prinsip pergeseran semu atau virtual displecement. Sebuah pergeseran maya dari sistem didefinisikan seperti suatu perubahan pergeseran dari tiap partikel tetapi dengan waktu tertentu. Pergeseran matematis yang dapat menyelesaikan secara konseptual pada satu waktu tertentu, yang mengikuti persamaan,

Melalui penurunan Prinsip D’Alembert akan diperoleh persamaan Euler-Lagrange

Persamaan tersebut merupakan persamaan Euler-Lagrange dalam sistem koordinat umum, yang berlaku pada gaya konservatif. Jika penyelesaian kasus gaya non konservatif maka Euler-Lagrange bukan sama dengan nol. Akan tetapi sama dengan , yaitu gaya-gaya luar yang bukan berupa gaya konservatif seperti gaya gesek

Terima Kasih
NPM : 2013022030
Izin menjawab,
Persamaan Euler-Lagrange merupakan persamaan yang berasal dari reformulasi Hukum Newton yang memudahkan untuk semua koordinat. Persamaan Euler-Lagrange dapat diturunkan melalui Prinsip D’Alembert, dengan menerapkan prinsip pergeseran semu atau virtual displecement. Sebuah pergeseran maya dari sistem didefinisikan seperti suatu perubahan pergeseran dari tiap partikel tetapi dengan waktu tertentu. Pergeseran matematis yang dapat menyelesaikan secara konseptual pada satu waktu tertentu, yang mengikuti persamaan,

Melalui penurunan Prinsip D’Alembert akan diperoleh persamaan Euler-Lagrange

Persamaan tersebut merupakan persamaan Euler-Lagrange dalam sistem koordinat umum, yang berlaku pada gaya konservatif. Jika penyelesaian kasus gaya non konservatif maka Euler-Lagrange bukan sama dengan nol. Akan tetapi sama dengan , yaitu gaya-gaya luar yang bukan berupa gaya konservatif seperti gaya gesek

Terima Kasih