Ayo Diskusi

Ayo Diskusi

Number of replies: 20

Silakan sampaikan pada forum ini jika ada hal-hal yang kurang jelas atau sulit Anda pahami terkait materi BAB I. Terima kasih.

In reply to First post

Re: Ayo Diskusi

by Ririn Oriska -
Nama : Ririn Oriska
Npm : 2013022010

izin bertanya pak,
Dalam aljabar vektor, pada bagian vektor posisi, perpindahan, dan pemisahan terdapat istilah vektor posisi . Ada berapa macamkah vektor posisi dan jelaskan?
Terimakasih
In reply to Ririn Oriska

Re: Ayo Diskusi

by Gustin wardani 2013022030 -
Nama : Gustin Wardani
NPM : 2013022030

Izin menjawab,
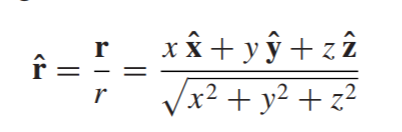
Vektor posisi adalah vektor yang menggambarkan posisi di suatu titik. Suatu benda yang berada di koordinat x,y dapat dituliskan posisinya sebagai berikut.
undefined
Untuk mengetahui jarak benda dari pusat koordinat, dapat ditentukan dari besarnya vektor posisi tersebut.
undefined

Terima Kasih
In reply to Ririn Oriska

Re: Ayo Diskusi

by Pita Nadia 2013022008 -
Nama : Pita Nadia
NPM : 2013022008

Izin menjawab,
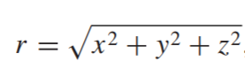
 Letak atau lokasi suatu titik dalam tiga dan 2 dimensi dapat dijelaskan dengan membuatnya ke koordinat kartesius. Untuk 2 dimensi (x, y) sedangkan untuk 3 dimensi (x,y,z). Vektor dari titik tersebut ke titik asal disebut vektor posisi.
- Pada 3 dimensi dapat ditulis posisinya, yaitu:
..
untuk mengitung jarak dari titik asal:
...
dan
.....
adalah vektor satuan yang menunjuk secara radial ke luar.

- Sedangkan pada 2 dimensi dapat ditulis posisinya, yaitu:
.
untuk mengitung jarak dari titik asal:
....

Terima kasih
In reply to Ririn Oriska

Re: Ayo Diskusi

by Latia Merinda -
Nama : Latia Merinda
NPM : 2013022026

Izin menjawab
Berdasarkan ruang yang ditempati maka vektor dapat dibagi menjadi dua (2) jenis yaitu vektor dimensi dua dan vektor dimensi tiga.

1. Vektor dimensi dua
Ini adalah vektor yang menempati ruang dimensi dua (R2). Vektor ini memiliki dua komponen dan digambarkan pada bidang koordinat Cartecius dengan sumbu x dan sumbu y. Adapun bentuk umum vektor dimensi dua adalah , dengan a dan b adalah scalar. Misalkan terdapat titik P (p1.p2) dan titik Q (q1.q2). Vektor PQ dapat dituliskan dalam vektor komponen menjadi PQ = (q1 – p1) i + (q2– p2)j

2. Vektor dimensi tiga
Ini adalah vektor yang menempati ruang dimensi tiga (R3). Vektor ini memiliki tiga komponen dan digambarkan pada koordinat ruang Cartesius dengan sumbu x, sumbu y, dan sumbu z. Bentuk umumnya adalah x = ai + bj + ck dengan a, b, dan c adalah scalar. Misalkan terdapat titik P (p1, p2, p3) dan titik Q (q1 + q2 + q3). Vektor PQ dapat dituliskan dalam vektor komponen menjadi PQ = (q1 – p1)i + (q2 – p2)j + (q3 – p3)k.

Terimakasih
In reply to First post

Re: Ayo Diskusi

by Latia Merinda -
Nama : Latia Merinda
NPM : 2013022026

Izin bertanya
Apa yang membedakan koordinat kurvilinear dengan fungsi dirac delta?

Terimakasih
In reply to Latia Merinda

Re: Ayo Diskusi

by Rosa Salsabila Latifah 2013022050 -
Nama: Rosa Salsabila Latifah
NPM: 2013022050

Izin menjawab,
Koordinat kulvilinier merupakan suatu sistem koordinat yang koordinatnya berupa garis/bidang (lurus/lengkung), sedangkan fungsi dirac delta digunakan untuk merepresentasikan objek titik ideal, seperti titik titik atau muatan titik. Fungsi dirac delta ini biasanya digunakan dalam fungsi gelombang kuantum, Fungsi delta diwakili dengan simbol delta huruf kecil Yunani, ditulis sebagai fungsi: δ ( x ).

Terima kasih.
In reply to First post

Re: Ayo Diskusi

by Putri Asnaul Karimah 2013022014 -
Nama : Putri Asnaul Karimah
NPM : 2013022014
Izin bertanya,

Bagaimana hubungan yang dihasilkan antara perkalian titik dengan perkalian vektor?
Terimakasih
In reply to Putri Asnaul Karimah 2013022014

Re: Ayo Diskusi

by Pita Nadia 2013022008 -
Nama : Pita Nadia
NPM : 2013022008

Izin menjawab,
perkalian vektor dapat dilakukan menggunakan perkalian titik (dot) atau perkalian silang (cross). Hasil dari perkalian vektor dengan menggunakan perkalian titik (dot) berupa skalar. Contoh: pada kasus u=v atau dapat ditulis u.v ,maka hasil perkalian titik u dan v adalah   \left| \begin{matrix} \left| \begin{matrix} u \end{matrix} \right| \end{matrix} \right| = \sqrt{u.u}
Oleh sebab itu antara perkalian vektor dengan perkalian perkalian titik berhubungan erat karena perkalian vektor jika tidak menggunakan kali silang (cross) maka menggunakan perkalian titik (dot).
Terima kasih
In reply to Putri Asnaul Karimah 2013022014

Re: Ayo Diskusi

by Winda Dwi Safitri -
Nama : Winda Dwi Safitri
NPM : 2013022018

Izin menjawab,

Terima Kasih
In reply to First post

Re: Ayo Diskusi

by Pita Nadia 2013022008 -
Nama : Pita Nadia
NPM : 2013022008

Izin bertanya,
Dalam buku Griffith (edisi ke-4), menjelaskan bahwa biasanya nilai integral garis sangat bergantung pada lintasan yang diambil dari a ke b, tetapi ada kelas khusus fungsi vektor yang penting di mana integral garis tidak bergantung pada jalur dan ditentukan seluruhnya oleh titik akhir.
Bagaimana cara membedakan integral garis tersebut masuk ke kelas khusus (ditentukan seluruhnya oleh titik akhir) atau bukan?
Terima kasih
In reply to First post

Re: Ayo Diskusi

by Alfia Rosa -
Nama : Alfia Rosa
NPM : 2013022040
Izin bertanya, bagaimana komponen vektor dan turunan vektor pada koordinat umum lengkung bekerja?
Terima kasih
In reply to First post

Re: Ayo Diskusi

by Insani Triana 2013022002 -
Nama : Insani Triana
NPM : 2013022002
Izin bertanya,
Pada buku Griffith (edisi ke-4) materi direct delta function,  mengapa nilai integral permukaan itu tidak bergantung pada nilai R?
Terima kasih
In reply to First post

Re: Ayo Diskusi

by Chairani Kartini S.Harry -
Nama : Chairani Kartini S.Harry
NPM : 2013022028

Izin bertanya,
Mengapakah koordinat lengkung sering digunakan untuk menentukan lokasi atau distribusi kuantitas fisik yang mungkin, misalnya, skalar , vektor , atau tensor?
Terima kasih
In reply to Chairani Kartini S.Harry

Re: Ayo Diskusi

by Mita Safira 2013022044 -
Nama : Mita Safira
NPM : 2013022044

Izin menjawab,
Karena ekspresi matematika yang melibatkan kuantitas ini dalam kalkulus vektor dan analisis tensor (seperti gradien , divergensi , curl , dan Laplacian ) dapat diubah dari satu sistem koordinat ke sistem koordinat lainnya, sesuai dengan aturan transformasi untuk skalar, vektor, dan tensor. Ekspresi tersebut kemudian menjadi valid untuk setiap sistem koordinat lengkung.

Terimakasih
In reply to First post

Re: Ayo Diskusi

by Dian Permata Hati 2013022036 -
Nama : Dian Permata Hati
NPM : 2013022036

Izin bertanya, bagaimana keadaan vektor dua dimensi?
Terimakasih
In reply to Dian Permata Hati 2013022036

Re: Ayo Diskusi

by Sihfa Zhainita 2013022062 -
Nama : Sihfa Zhainita
NPM : 2013022062

Izin menjawab,
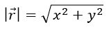
Vektor pada bidang bisa disebut juga sebagai vektor dua dimensi. Pada vektor dua dimensi, kita akan mengenal yang namanya vektor posisi. Vektor Posisi adalah vektor yang berpangkal di pusat koordinat (0,0) dan berujung di suatu titik (x,y).

Jika diperhatikan terdapat dua buah ruas garis, yaitu OP dan OR. Kita misalkan ruas garis OP sebagai vektor p dan ruas garis ORsebagai vektor R. Vektor p termasuk vektor posisi karena memiliki pangkal di pusat koordinat O (0,0) dan ujung di titik P (4,2). Sama halnya dengan vektor R yang juga merupakan vektor posisi karena berpangkal di titik O (0,0) dan ujung di titik R (2,4).
.

Terima kasih
In reply to First post

Re: Ayo Diskusi

by Sihfa Zhainita 2013022062 -
Nama : Sihfa Zhainita
NPM : 2013022062

Izin bertanya,
Bagaimana cara menentukan suatu titik berada pada kuadran koordinat kartesius?

Terima kasih
In reply to Sihfa Zhainita 2013022062

Re: Ayo Diskusi

by Dian Permata Hati 2013022036 -
Nama : Dian Permata Hati
NPM : 2013022036

Izin menjawab,
Kuadran koordinat Cartesius ada 4. Pada kuadran I nilai x positif y positif, pada kuadran II nilai x negatif y positif, pada kuadran III nilai x negatif y negatif, dan pada kuadran IV nilai x positif y negatif.

Ringkasnya:

- KI letak titik (a, b)
- KII letak titik (-a, b)
- KIII letak titik (-a, -b)
- KIV letak titik (a, -b)
Terimakasih
In reply to First post

Re: Ayo Diskusi

by Neo Safitri 2013022006 -
Nama : Neo Safitri
NPM : 2013022006

Izin bertanya,
Pada aljabar vektor terdapat bagian vektor perpindahan, bagaimana komponen dan rumus perpindahan pada vektor tersebut?
Terimakasih.
In reply to First post

Re: Ayo Diskusi

by Sholea mutiara 2013022048 -
Nama : Sholea Mutiara
Npm : 2013022048

Izin bertanya,
Sebutkan dan jelaskan fungsi dari delta dirac, yang paling umum dan sering digunakan?
Terima kasih.