Ayo Diskusi: Analisis Vektor

Ayo Diskusi: Analisis Vektor

Number of replies: 25

Silakan Anda pahami Peranti Matematis (Mathematical Tools) berupa ANALISIS VEKTOR dari buku Griffith (Edisi ke-4). Anda dapat menggunakan sumber lain juga untuk menguatkan pemahaman Anda terkait ANALISIS VEKTOR. Adapun yang perlu Anda pelajari:

  1. Aljabar Vektor (Penjumlahan & Pengurangan Vektor, Perkalian Vektor, Triple Products)
  2. Kalkulus Diferensial (Gradien, Divergensi, Curl)
  3. Kalkulus Integral (Integral lintasan, permukaan, dan volume; Teorema Gradiensi, Teorema Divergensi, Teorema Curl)
  4. Koordinat Melengkung (Permukaan Bola dan Silinder)
  5. Fungsi Delta Dirac
In reply to First post

Re: Ayo Diskusi: Analisis Vektor

by Ririn Oriska -
Nama : Ririn Oriska
Npm : 2013022010

izin bertanya pak,
hasil dari perkalian vektor triple product itu dalaam bentuk vektor atau skalar?
terimakasih pak
In reply to Ririn Oriska

Re: Ayo Diskusi: Analisis Vektor

by Pita Nadia 2013022008 -
Nama : Pita Nadia

NPM : 2013022008


Izin menjawab, 

Hasil dari perkalian vektor triple product: 

1. Apabila A.(BxC)  hasilnya akan berupa skalar.

2. Apabila A.B.C tidak bisa dihitung karena A.B atau B.C hasilnya akan berupa skalar.  Sedangkan skalar tidak bisa di dot kan dengan vektor. 

3. Apabila A.BxC , mungkin dapat dihitung jika perkalian yang dihitung lebih dulu adalah BxC. Maka akan didapat hasil berupa skalar. 

4. Apabila (AxB)xC atau Ax(BxC) hasilnya akan berupa vektor. 

Berikut adalah contoh perhitungannya:

1

2


Terima kasih

In reply to First post

Re: Ayo Diskusi: Analisis Vektor

by Gustin wardani 2013022030 -
Nama : Gustin Wardani
NPM : 2013022030

Izin bertanya,
Bagaimana fungsi delta dirac bekerja?
Terima Kasih
In reply to Gustin wardani 2013022030

Re: Ayo Diskusi: Analisis Vektor

by Putri Asnaul Karimah 2013022014 -
Nama : Putri Asnaul Karimah
NPM : 2013022014

Izin menjawab,

Fungsi delta Dirac adalah nama yang diberikan untuk struktur matematika yang dimaksudkan untuk merepresentasikan objek titik ideal, seperti massa titik atau muatan titik. Ini memiliki aplikasi luas dalam mekanika kuantum dan fisika kuantum lainnya , seperti biasanya digunakan dalam fungsi gelombang kuantum .

Terimakasih
In reply to Gustin wardani 2013022030

Re: Ayo Diskusi: Analisis Vektor

by Insani Triana 2013022002 -
Nama : Insani Triana
NPM : 2013022002

Izin menjawab,
Fungsi Delta Dirac $(r) adalah fungsi yang luar biasa, karena hanyamempunyai nilai disatu titik, dan nol ditempat lain, dan hasil integralnya = 1.

Fungsi delta merupakan fungsi yang benar-benar singular memiliki nilaitakhingga di satu titik, dan nol di tempat lain. Integral fungsi delta adalah satu,sedang integral dengan fungsi lain menghasilkan nilai fungsi di tempat tersebutatau bersifat mencuplik fungsi.

1-eb76ede52d.png


In reply to First post

Re: Ayo Diskusi: Analisis Vektor

by Sholea mutiara 2013022048 -
Nama : Sholea Mutiara
Npm : 2013022048

Izin Bertanya,
Sebutkan Dan Jelaskan Fungsi dari Koordinasi Melengkung yang terdapat pada Vektor?
Terima Kasih
In reply to Sholea mutiara 2013022048

Re: Ayo Diskusi: Analisis Vektor

by Fitri Nur Indah Sari 2013022032 -
Koordinat lengkung sering digunakan untuk menentukan lokasi atau distribusi kuantitas fisik yang mungkin, misalnya, skalar, vektor, atau tensor . Ekspresi matematika yang melibatkan kuantitas ini dalam kalkulus vektor dan analisis tensor (seperti gradien , divergensi , curl , dan laplacian ) dapat diubah dari satu sistem koordinat ke sistem koordinat lainnya, sesuai dengan aturan transformasi untuk skalar, vektor, dan tensor. Ekspresi tersebut kemudian menjadi valid untuk setiap sistem koordinat lengkung.

Terima kasih
In reply to First post

Re: Ayo Diskusi: Analisis Vektor

by Rosa Salsabila Latifah 2013022050 -
Nama: Rosa Salsabila Latifah
NPM: 2013022050

Izin bertanya,
Bagaimana penerapan Fungsi Delta Dirac dalam kehidupan sehari-hari terutama yang berkaitan dengan kelistrikan dan kemagnetan?

Terima kasih.
In reply to Rosa Salsabila Latifah 2013022050

Re: Ayo Diskusi: Analisis Vektor

by Alfia Rosa -
Nama : Alfia Rosa
NPM : 2013022040

Izin menjawab,

Dalam beberapa fenomena fisika, manusia berhubungan dengan suatu kejadian yang sifatnya impulsif (terjadi pada selang waktu yang singkat). Contoh peristiwa tersebut diantaranya: saat bola golf dipukul dengan stik, saat kejutan listrik, saat tumbukan antar massa, maupun saat transfer panas, dan lain sebagainya. Pada kasus bola golf misalnya, ketika bola golf dipukul menggunakan stik, tentunya bola golf tidak akan menempel pada alat pemukul dalam jangka waktu yang lama. Misalkan fungsi δ menyatakan besarnya gaya yang diberikan stik terhadap bola golf dan bekerja pada saat t = t, maka akan diperoleh nilai = untuk t < t maupun t > t. Sedangkan reaksi dari gaya ini dapat dituliskan, setelah dinormalisasi, sebagai: = 1. Nilai pada ruas kanan persamaan tersebut tidak boleh sama dengan nol, karena terjadi reaksi pada kejadian ini, yaitu ketika bola golf yang melesat akibat pukulan stik tersebut.

Fungsi Delta Dirac juga sangat berguna sebagai perkiraan untuk fungsi lonjakan sempit dan tinggi, seperti suatu impuls. Misalnya, untuk menghitung dinamika bisbol yang terkena bat. Perkiraan kekuatan bat yang digunakan untuk mukul bisbol dapa dihitung dengan Fungsi Delta Dirac. Fungsi Delta Dirac tidak hanya memungkinkan persamaan untuk disederhanakan, tetapi juga memungkinkan gerakan bisbol dihitung dengan hanya mempertimbangkan impuls total pukulan bat terhadap bola, daripada rincian tentang bagaimana bat mentransfer energi ke bola. Namun, tercatat bahwa Fungsi Delta Dirac tidak sepenuhnya bekerja. Meskipun demikian, Fungsi Delta Dirac dapat dimanipulasi untuk banyak tujuan dan dapat secara resmi didefinisikan sebagai fungsi umum ataupun sebagai distribusi yang juga merupakan ukuran.

Terima kasih
In reply to First post

Re: Ayo Diskusi: Analisis Vektor

by Nadiyah Safitri 2013022046 -

Nama : Nadiyah safitri

NPM : 2013022046


Izin bertanya,

Jelaskan permukaan koordinat dalam sistem silinder dan sertakan gambarnya!


Terima kasih

In reply to Nadiyah Safitri 2013022046

Re: Ayo Diskusi: Analisis Vektor

by Insani Triana 2013022002 -
Nama : Insani Triana
NPM : 2013022002

Izin menjawab,
Permukaan koordinat silinder adalah sistem koordinat tiga dimensi yang menentukan posisi titik dengan jarak dari sumbu referensi yang dipilih (sumbu L pada gambar yang berlawanan) , arah dari sumbu relatif terhadap arah referensi yang dipilih (sumbu A) , dan jarak dari bidang referensi yang dipilih tegak lurus terhadap sumbu (bidang yang berisi bagian ungu) . Jarak terakhir diberikan sebagai angka positif atau negatif tergantung pada sisi mana dari bidang referensi yang menghadap titik tersebut.

H
Koordinat silinder berguna dalam kaitannya dengan objek dan fenomena yang memiliki beberapa simetri rotasi terhadap sumbu longitudinal, seperti aliran air dalam pipa lurus dengan penampang bulat, distribusi panas dalam silinder logam , medan elektromagnetik yang dihasilkan oleh arus listrik dalam panjang, kawat lurus, cakram akresi dalam astronomi, dan sebagainya.

Terima kasih
In reply to First post

Re: Ayo Diskusi: Analisis Vektor

by Fadiyah Farah Khoirunnisaa 2013022016 -
Nama : Fadiyah Farah Khoirunnisaa
NPm: 2013022016

Izin bertanya,
Bagaimana pengaplikasian teorema divergensi?
Terimakasih.
In reply to Fadiyah Farah Khoirunnisaa 2013022016

Re: Ayo Diskusi: Analisis Vektor

by Elpin Nurul Rahmayani -
Nama : Elpin Nurul Rahmayani
NPM : 2013022038
Izin menjawab,
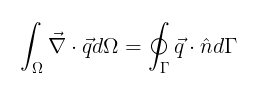
Teorema diveregensi merupakan sebuah teorema yang mengubah suatu integral volume menjadi integral kontur pada suatu medan vektor. Teorema ini juga sering disebut teorema Gauss. Apabila vektor tersebut vec q, maka teorema divergensi pada vektor tersebut dinyatakan dengan,

Ruas kiri dikatakan sebagai integral suatu divergensi vektor pada suatu volume, dan ruas kanan dikatakan sebagai integral kontur suatu medan vektor pada suatu batas areanya.
Terimakasih
In reply to First post

Re: Ayo Diskusi: Analisis Vektor

by Chairani Kartini S.Harry -
Nama : Chairani Kartini S.Harry
NPM : 2013022028

Izin bertanya,
Bagaimana menganalisis sistem koordinat lengkungan pada permukaan bola dan silinder?
In reply to Chairani Kartini S.Harry

Re: Ayo Diskusi: Analisis Vektor

by Neo Safitri 2013022006 -
Nama : Neo Safitri
NPM : 2013022006

Izin menjawab, 
Koordinat bola

sperical rho0  sperical pi0

Transformasi dari koordinat kartesius ke koordinat bola dan sebaliknya

cartesian to from spherical transform 

Koordinat Silinder

cylinders r1 r2 r3planes theta123

Suatu titik ataupun suatu persamaan dalam suatu sistem koordinat dapat ditransformasikan ke sistem koordiat lainnya. Transformasi sistem koordinat kartesius ke sistem koordiant silinder dan sebaliknya mengikuti persamaan transformasi beirkut

cartesian to from cylindrical transform

Terimakasih.
In reply to First post

Re: Ayo Diskusi: Analisis Vektor

by Pita Nadia 2013022008 -
Nama : Pita Nadia
NPM : 2013022008

Izin bertanya,
Dalam kasus apa saja kita dapat menerapkan vektor, terkait dengan kelistrikan dan kemagnetan?
Terima kasih
In reply to Pita Nadia 2013022008

Re: Ayo Diskusi: Analisis Vektor

by Atikkotunnajiah 2013022056 -
Nama: Atikkotunnajiah
Npm: 2013022056

Izin menjawab,
Kita bisa menerapkanya dalam persamaan Maxwell. Persamaan Maxwell adalah himpunan empat persamaan diferensial parsial yang mendeskripsikan sifat-sifat medan listrik dan medan magnet dan hubungannya dengan sumber-sumbernya, muatan listrik dan arus listrik.

Terimakasih
In reply to First post

Re: Ayo Diskusi: Analisis Vektor

by Sihfa Zhainita 2013022062 -
Nama : Sihfa Zhainita
NPM : 2013022062

Izin bertanya,
Mengapa kita menggunakan fungsi delta Dirac dalam fisika?

Terima kasih
In reply to Sihfa Zhainita 2013022062

Re: Ayo Diskusi: Analisis Vektor

by Dian Permata Hati 2013022036 -
Nama : Dian Permata Hati
NPM : 2013022036

Izin menjawab,
Lebih dari tiga abad yang lalu, Leibniz mengamati bahwa alam tampaknya secara fundamental berkelanjutan. Akibatnya, dalam bentuknya yang paling umum, hukum fisika klasik berurusan dengan distribusi: rapat massa, rapat muatan, medan gravitasi, medan listrik dan magnet, tensor tegangan dan regangan, gaya yang diberikan selama selang waktu tertentu, dan seterusnya.

Namun, terkadang kita ingin memecahkan masalah yang melibatkan objek ideal yang tidak kontinu. Misalnya, jika kawat pembawa arus cukup tipis, kita mungkin ingin berpura-pura bahwa itu sangat tipis. Untuk melakukan ini, kita perlu memiliki cara untuk menuliskan, dan memanipulasi, distribusi yang melibatkan "kepadatan tak terbatas" (secara matematis, mereka tidak benar-benar kontinu sehubungan dengan ukuran Lebesgue). Kerapatan arus volume dalam kawat yang sangat tipis tidak terbatas, karena Anda memiliki arus yang mengalir dalam jumlah terbatas meskipun itu melalui penampang area hilang. Di situlah delta Dirac masuk.

Jika kami mau, kami dapat menolak menggunakan delta Dirac, dan bekerja keras dengan distribusi berkelanjutan. Kita dapat menolak untuk memahami konsep kawat yang sangat tipis, dan sebaliknya bersikeras bahwa kawat memiliki radius terbatas dengan beberapa distribusi arus tertentu dalam penampang kabel, maka mungkin mengambil batas saat radius menjadi nol setelah kita memilikinya. sudah dihitung jumlah yang kita inginkan. Namun, dalam arti tertentu, menggunakan delta Dirac membuatnya lebih mudah untuk mendapatkan hasil yang sama, dengan terlebih dahulu membuang semua detail tambahan yang akan menjadi tidak relevan di beberapa titik dalam derivasi. Misalnya, ketika menghitung medan magnet di sekitar kawat itu, sebenarnya tidak masalah bagaimana arus didistribusikan di dalam penampang kawat, jadi mewakili arus dengan fungsi delta membuang detail yang tidak perlu ini segera, sebelum kita pergi ke Ampere. hukum (yang akan mengkonfirmasi bahwa distribusi tidak masalah).
Terimakasih
In reply to Sihfa Zhainita 2013022062

Re: Ayo Diskusi: Analisis Vektor

by Alfia Rosa -
Nama : Alfia Rosa
NPM : 2013022040

Izin menjawab,
Fungsi Delta Dirac adalah nama yang diberikan untuk struktur matematika, dan dimaksudkan mewakili suatu objek titik ideal, seperti massa titik atau muatan titik. Fungsi Delta Dirac memiliki aplikasi yang luas dalam mekanika kuantum dan sisanya dari fisika kuantum. Fungsi ini biasanya digunakan dalam fungsi gelombang kuantum . Fungsi ini diwakili dengan simbol Yunani, dan ditulis dengan huruf kecil, sebagai fungsi: δ ( x ).

Fungsi Delta Dirac diiperkenalkan pertama kali, oleh fisikawan Inggris Paul. A. M. Dirac, untuk mengambarkan suatu fenomena fisika yang memiliki nilai pada suatu titik (singular) , namun pada titik yang lain nilainya sama dengan nol. Selain itu, integral dari fungsi tersebut sepanjang interval, domainnya sama dengan satu.

Terima kasih
In reply to First post

Re: Ayo Diskusi: Analisis Vektor

by Dian Permata Hati 2013022036 -
Nama : Dian Permata Hati
NPM : 2013022036

Izin bertanya, bagaimana bentuk persamaan dari Teorema gradien?
Terimakasih
In reply to Dian Permata Hati 2013022036

Re: Ayo Diskusi: Analisis Vektor

by Sihfa Zhainita 2013022062 -
Nama : Sihfa Zhainita
NPM : 2013022062

Izin menjawab,
Teorema gradien, dikenal sebagai teorema dasar kalkulus untuk integral garis , mengatakan bahwa integral garis melalui medan gradien dapat dievaluasi dengan mengevaluasi medan skalar asli di titik akhir kurva. Teorema adalah generalisasi dari teorema dasar kedua kalkulus untuk setiap kurva dalam bidang atau ruang (umumnya n -dimensi) daripada hanya garis nyata.

.

Teorema gradien menyiratkan bahwa integral garis melalui bidang gradien adalah jalur-independen . Dalam fisika teorema ini adalah salah satu cara untuk mendefinisikan gaya konservatif . Dengan menempatkan sebagai potensial , adalah medan konservatif . Usaha yang dilakukan oleh gaya-gaya konservatif tidak bergantung pada lintasan yang dilalui benda, tetapi hanya pada titik-titik ujungnya, seperti yang ditunjukkan oleh persamaan di atas.

Teorema gradien juga memiliki kebalikan yang menarik: setiap medan vektor bebas jalur dapat dinyatakan sebagai gradien medan skalar . Sama seperti teorema gradien itu sendiri, kebalikan ini memiliki banyak konsekuensi dan aplikasi yang mencolok baik dalam matematika murni maupun terapan.

Terima kasih
In reply to First post

Re: Ayo Diskusi: Analisis Vektor

by Neo Safitri 2013022006 -
Nama : Neo Safitri
NPM : 2013022006

Izin bertanya,
Bagaimana Penerapan Fungsi dari kalkulus diferensial gradien dan mencari gradien persamaan ?
Terimakasih.
In reply to First post

Re: Ayo Diskusi: Analisis Vektor

by Sholea mutiara 2013022048 -
Nama : Sholea Mutiara
Npm : 2013022048

Izin Bertanya,
Bagaimana cara menentukan gradien dari suatu persamaan?
Terima Kasih.
In reply to Sholea mutiara 2013022048

Re: Ayo Diskusi: Analisis Vektor

by Atikkotunnajiah 2013022056 -
Nama: Atikkotunnajiah
Npm: 2013022056

Izin menjawab
Bentuk persamaan garis juga dapat dinyatakan dalam persamaan ax + by + c = 0. Untuk mendapatkan nilai gradien dengan persamaan garis bentuk ax + by + c = 0 dapat menggunakan perbandingan koefisien x dibanding koefisien y, dengan tanda perbandingan negatif. Seperti pada persamaan garis y = mx + c, kecondongan garis juga dapat dilihat dari hasil gradiennya. Jika nilai gradien sama dengan positif maka garis tersebut condong ke kanan. Sedangkan untuk nilai gradien negatif, garis condong ke kiri. Berikut rumus gradien untuk bentuk persamaan garis ax + by + c = 0.

Terimakasih