Untuk menguatkan pemahaman Anda terkait ANALISIS VEKTOR silakan Anda berlatih mengerjakan PROBLEMS yang ada di BAB I ANALISIS VEKTOR dari buku Griffith (Edisi ke-4). Silakan Anda mengunggah hasil pekerjaan Anda di forum ini dan diskusikan. Terima kasih.
Ayo Berlatih
bagaimana kalau B=C, atau A+C, apakah (A x B) X C = A X (B x C) ? jika anda bisa mengerjakan ini baru anda paham tentang hukum asosiasi.
Nama : Pita Nadia
NPM : 2013022008
Izin menjawab Problem 1.6

tidak sederhana ini embak, anda harus paham aturan triple produk
Gambar Vektor A, B, dan C mana? sangat abstrak tidak jelas kasus fisikanya
Nama: Atikkotunnajiah
Npm: 2013022056
Izin menjawab problem 1.2 
kenapa gambarnya begitu, apakah anda bisa jawab?
Nama : Dian Permata Hati
NPM : 2013022036
Izin menjawab problem 1.4
NPM : 2013022036
Izin menjawab problem 1.4


Terimakasih
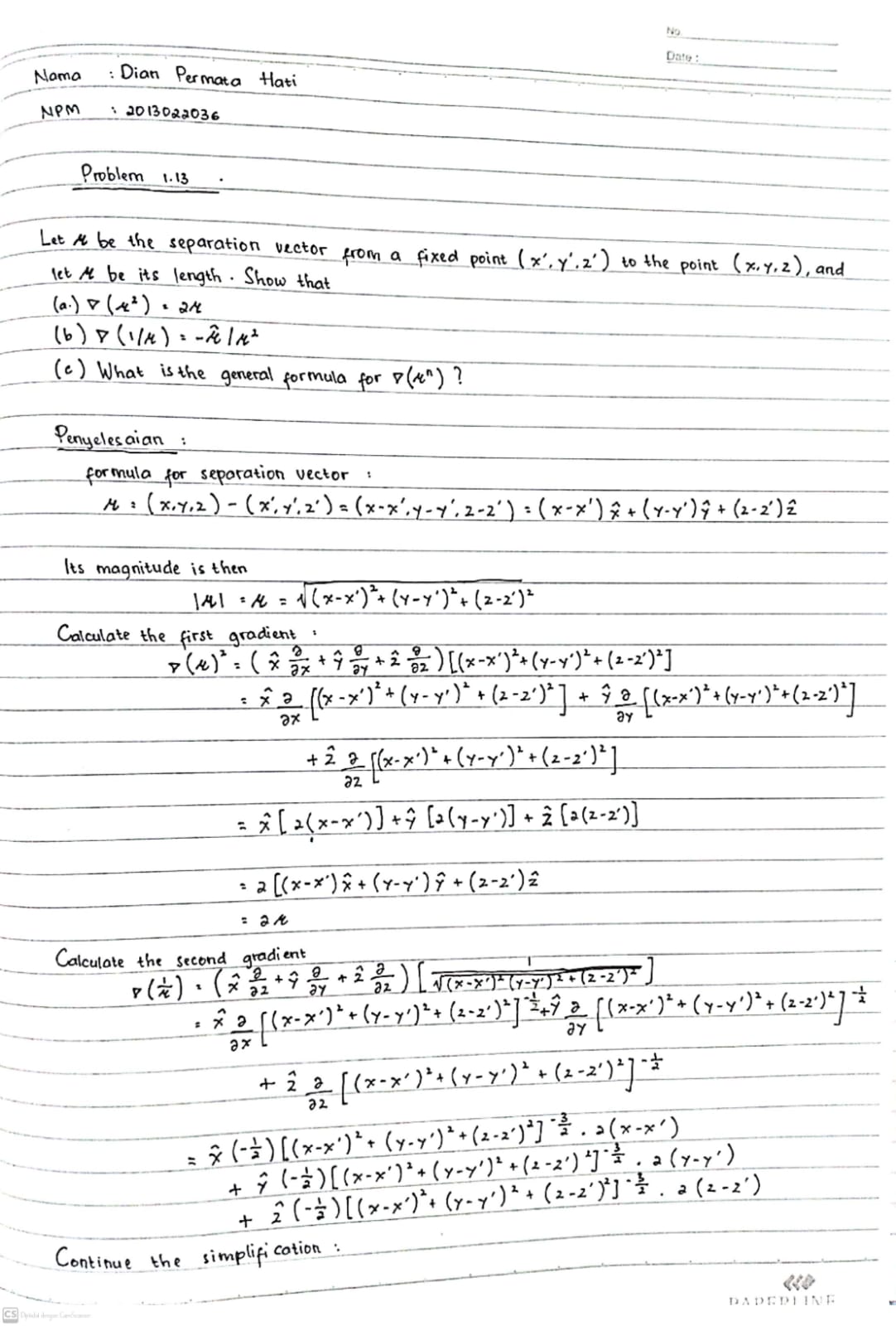
Nama : Dian Permata Hati
NPM : 2013022036
Izin menjawab problem 1.13
NPM : 2013022036
Izin menjawab problem 1.13


Terimakasih
Nama : Sihfa Zhainita
NPM : 2013022062
Izin menjawab problem 1.3
NPM : 2013022062
Izin menjawab problem 1.3


Nama : Sihfa Zhainita
NPM : 2013022062
Izin menjawab Problem 1.8

NPM : 2013022062
Izin menjawab Problem 1.8


Terima kasih
Tak jelas sudut yang mana yang anda hitung
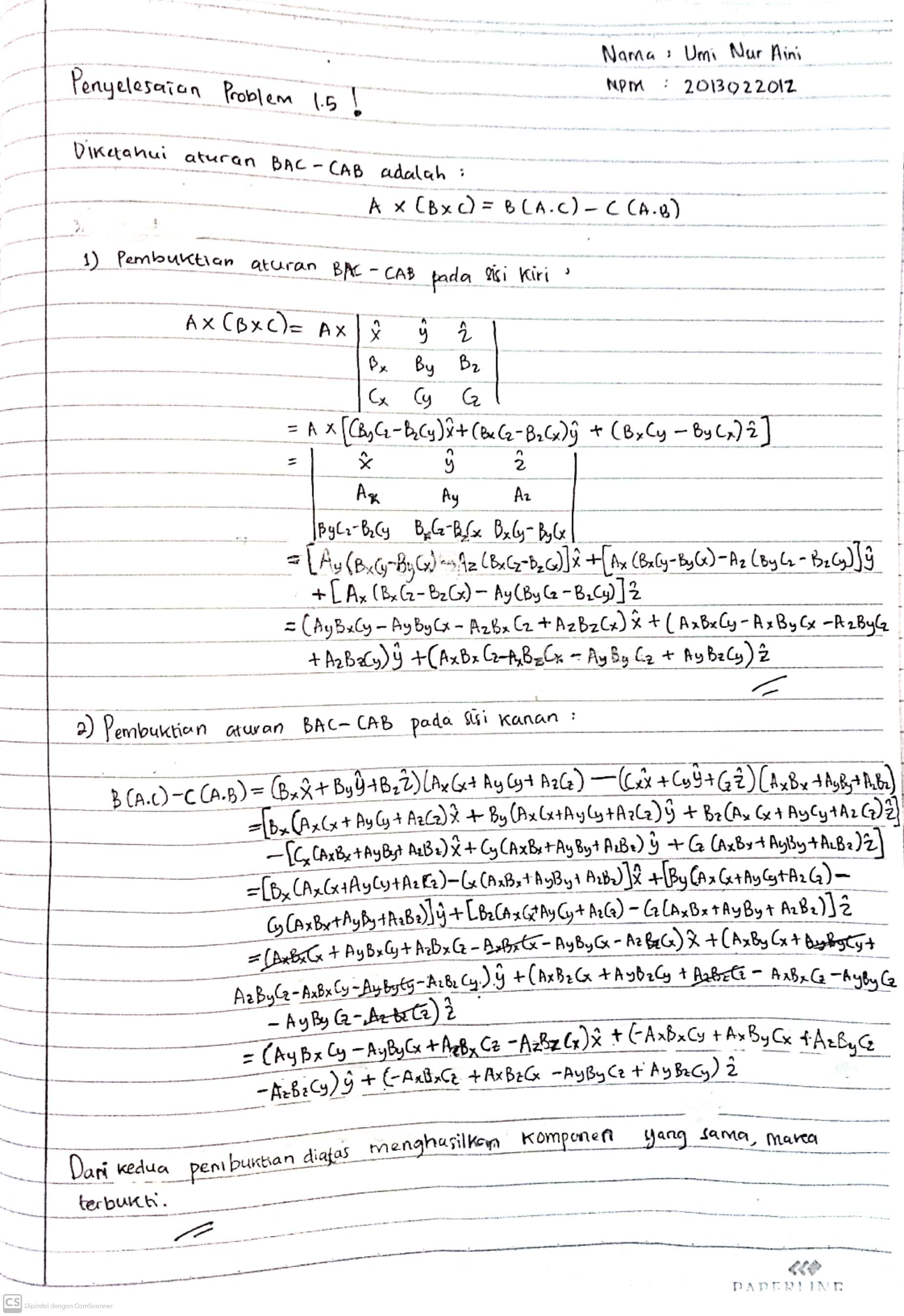
Nama : Umi Nur Aini
NPM : 2013022012
Izin menjawab Problem 1.5

Terima kasih
NPM : 2013022012
Izin menjawab Problem 1.5

Terima kasih
Nama : Neo Safitri
NPM : 2013022006
Izin menjawab problem 1.7
NPM : 2013022006
Izin menjawab problem 1.7


Nama : Latia Merinda
NPM : 2013022026
Prodi : Pendidikan Fisika (B)
Izin menjawab problem 1.1
NPM : 2013022026
Prodi : Pendidikan Fisika (B)
Izin menjawab problem 1.1
Nama : Pita Nadia
NPM : 2013022008
Izin menjawab Problem 1.15

Terima kasih
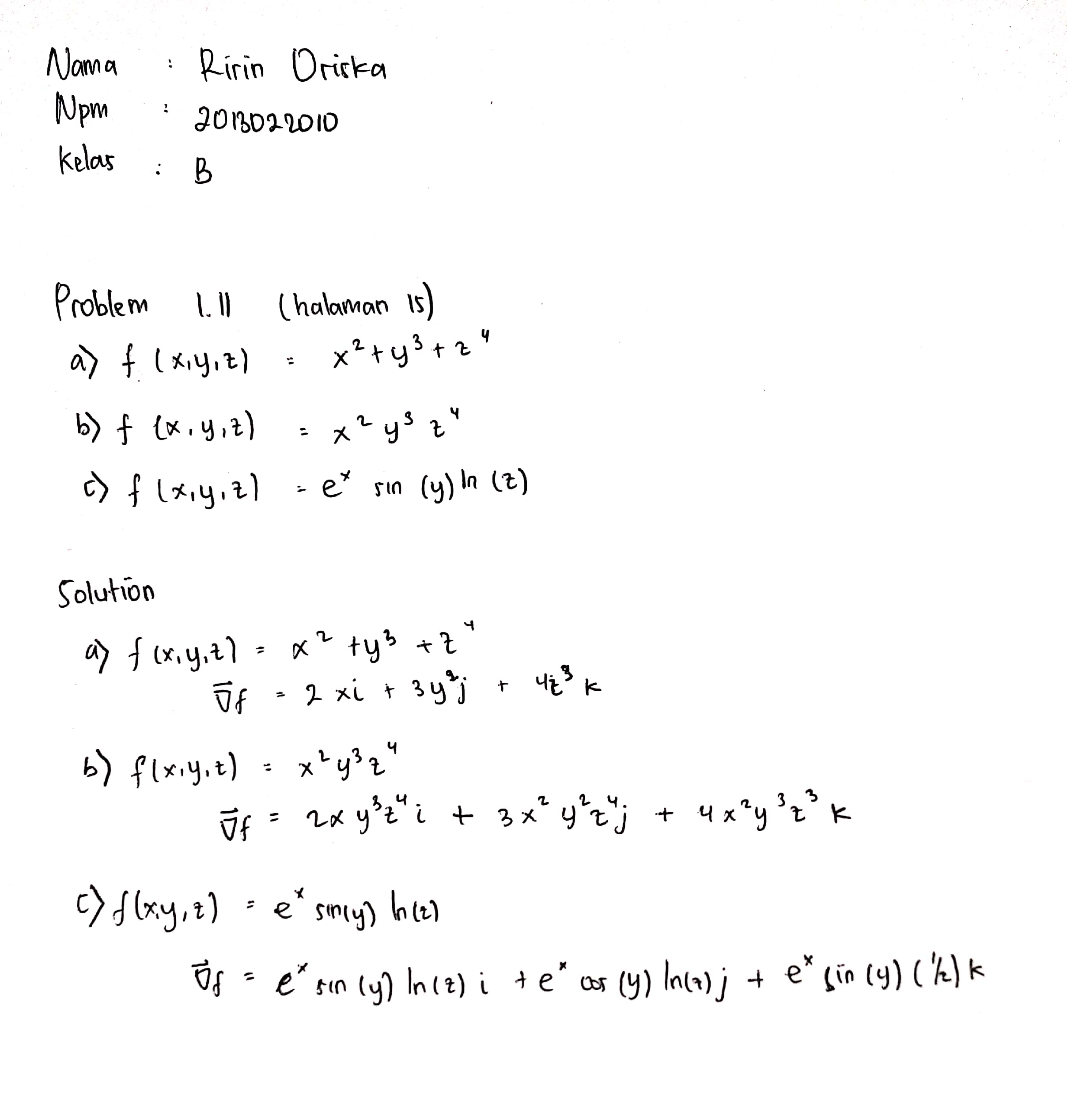
Nama : Ririn Oriska
NPM : 2013022010
Izin menjawab problem 1.11
NPM : 2013022010
Izin menjawab problem 1.11

Nama : Ririn Oriska
Npm : 2013022010
izin menjawab

Nama : Putri Asnaul Karimah
NPM : 2013022014
Izin menjawab Problems 1.1
NPM : 2013022014
Izin menjawab Problems 1.1


Nama : Putri Asnaul Karimah
NPM : 2013022014
Izin menjawab Problems 1.2
NPM : 2013022014
Izin menjawab Problems 1.2

Nama : Putri Asnaul Karimah
NPM : 2013022014
Izin menjawab Problems 1.9
NPM : 2013022014
Izin menjawab Problems 1.9

Nama : Gustin Wardani
NPM : 2013022030
Izin menjawab problem 1.12
NPM : 2013022030
Izin menjawab problem 1.12


Terima Kasih
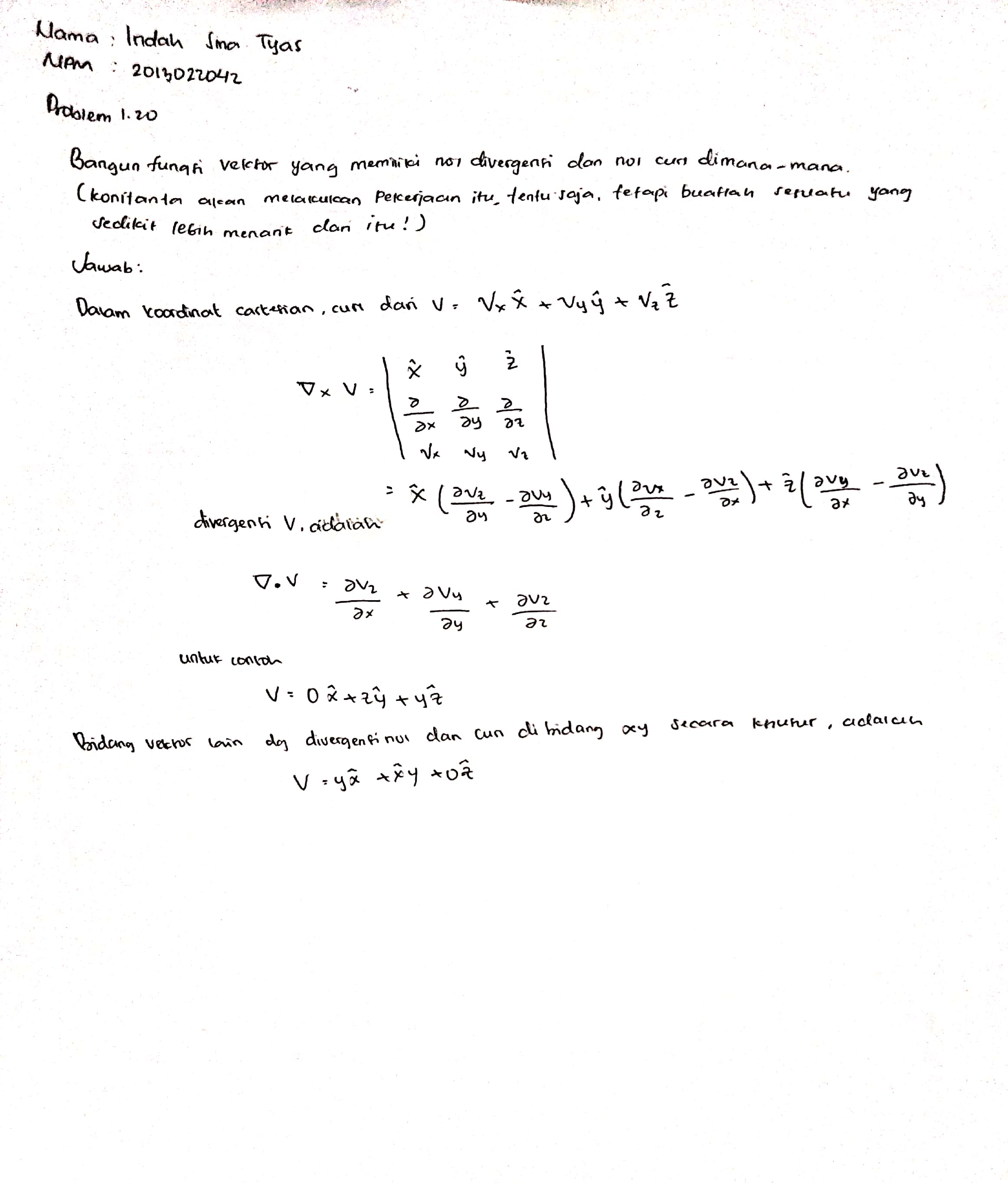
Nama : Indah Sina Tyas
NPM : 2013022042
Izin menjawab problem 1.20
NPM : 2013022042
Izin menjawab problem 1.20

Nama : Fadiyah Farah Khoirunnisaa
NPM : 2013022016
Izin menjawab problem 1.3
NPM : 2013022016
Izin menjawab problem 1.3

Nama : Winda Dwi Safitri
NPM : 2013022018
NPM : 2013022018
Izin menjawab problem 1.18

Terima Kasih
Nama : Alfia Rosa
NPM : 2013022040
Izin menjawab pertanyaan dari problem 1.2
NPM : 2013022040
Izin menjawab pertanyaan dari problem 1.2

Terima kasih
Nama : Insani Triana
NPM : 2013022002
Kelas : B
Izin menjawab,
NPM : 2013022002
Kelas : B
Izin menjawab,

terima kasih
Nama : Insani Triana
NPM : 2013022002
Kelas : B
Izin menjawab,
NPM : 2013022002
Kelas : B
Izin menjawab,

terima kasih
Nama: Rosa Salsabila Latifah
Npm: 2013022050
Izin menjawab Problem 1.16


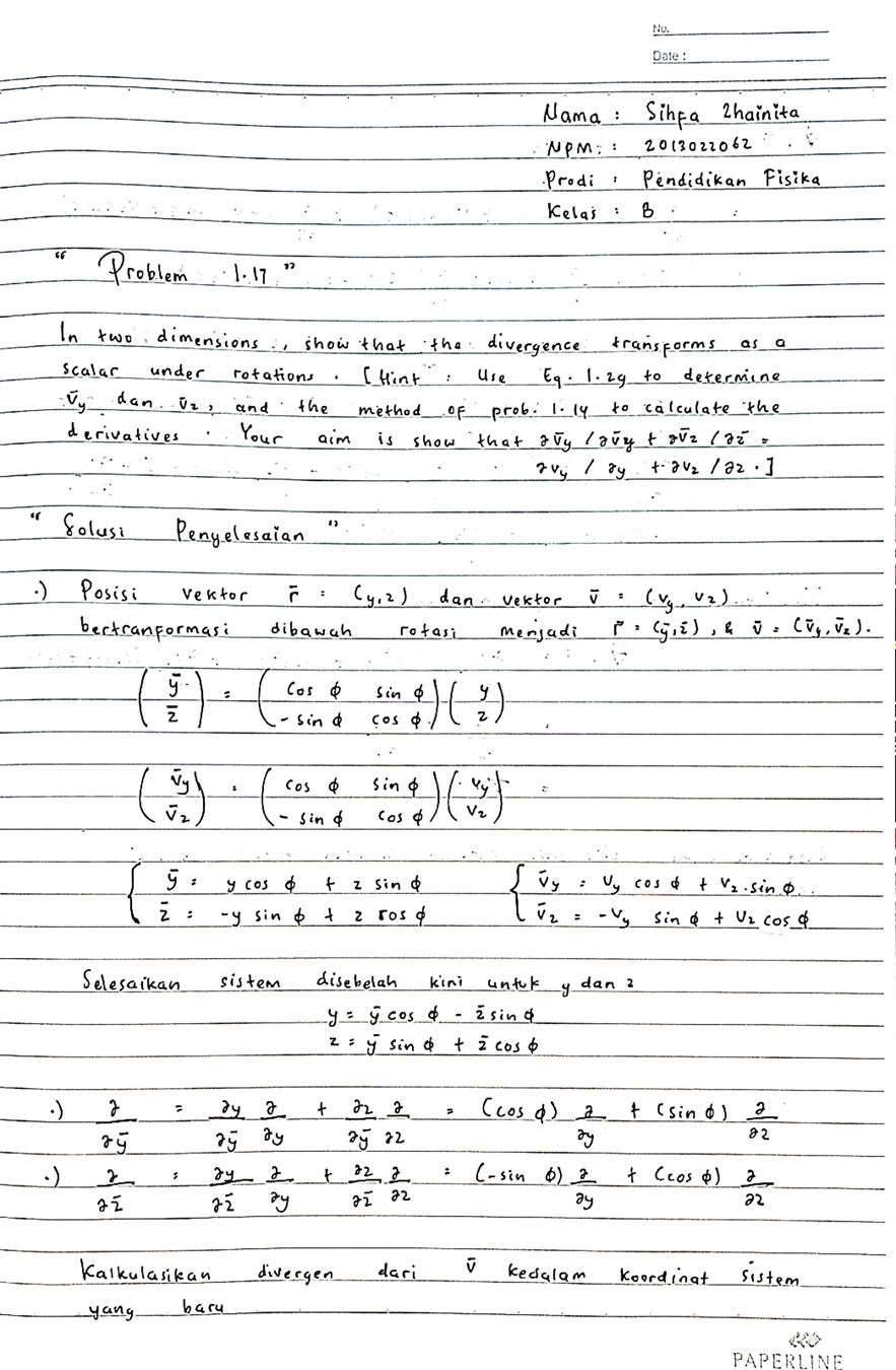
Nama : Sihfa Zhainita
NPM : 2013022062
Izin menjawab Problem 1.17

NPM : 2013022062
Izin menjawab Problem 1.17


Terima kasih
Nama: Annisa Dira
NPM: 2013022004
Izin menjawab problem 1.9

NPM: 2013022004
Izin menjawab problem 1.9

apakah anda paham apa yang anda kerjakan? sebenarnya kasus kita disini adalah bagaimana vektor itu digunakan dalam kelistrikan dan kemganrtan, seperti hukum hukum vektor (perkalian, pejumlahan, dan pengurangan), asosiasi dalam vektor, distribusi dalam vektor, transformasi vektor,dan operator fisika, seperti operator nabla dan delta dirac. untuk apa? dimana digunakan? selanjutnya akan kita bahas sistem koordinat (koordinat cartesian, bola, dan silinder).
Nama : Neo Safitri
NPM : 2013022006
Izin menjawab problem 1.19
NPM : 2013022006
Izin menjawab problem 1.19



Nama : Neo Safitri
NPM : 2013022006
Izin menjawab problem 1.21





Nama : Elpin Nurul Rahmayani
NPM : 2013022038
Izin menjawab problem 1.11
NPM : 2013022038
Izin menjawab problem 1.11

Nama : Elpin Nurul Rahmayani
NPM : 2013022038
Izin menjawab problem 1.12
NPM : 2013022038
Izin menjawab problem 1.12

Nama : Sholea Mutiara
Npm : 2013022048
Izin menjawab, latihan bab 1
Problem 1.3
Npm : 2013022048
Izin menjawab, latihan bab 1
Problem 1.3

Nama : Sholea Mutiara
Npm : 2013022048
Izin melanjutkan penyelesaian
Problem 1.3

Nama : Sholea Mutiara
Npm : 2013022048
Izin menjawab,
Problem 1.6 pada bab 1
Npm : 2013022048
Izin menjawab,
Problem 1.6 pada bab 1
