Silakan bagi kelompok 9 berdiskusi dan mengunggah tugas pada forum ini. Kelompok lain juga dapat mendiskusikan hasil tugas dari kelompok ini. Terima kasih.
Forum Diskusi dan Unggah Tugas Kelompok 9
Nama : Latia Merinda
NPM : 2013022026
Izin menjawab pernurunan persamaan katrol secara umum dan juga lagrangan pada katrol
NPM : 2013022026
Izin menjawab pernurunan persamaan katrol secara umum dan juga lagrangan pada katrol
In reply to First post
Re: Forum Diskusi dan Unggah Tugas Kelompok 9
Kelompok 9
Dengan Anggota:
1. Latia Merinda 2013022026
2. Mita Safira 2013022044
3. Atikkotunnajiah 2013022056
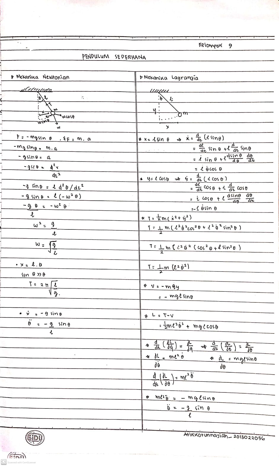
Nama: Atikkotunnajiah
NPM: 2013022056
Izin menjawab
perhitungan pendulum sederhana dengan newtonian dan lagrangian
Dengan Anggota:
1. Latia Merinda 2013022026
2. Mita Safira 2013022044
3. Atikkotunnajiah 2013022056
Nama: Atikkotunnajiah
NPM: 2013022056
Izin menjawab
perhitungan pendulum sederhana dengan newtonian dan lagrangian

In reply to First post
Re: Forum Diskusi dan Unggah Tugas Kelompok 9
Kelompok 9
Dengan Anggota:
1. Latia Merinda 2013022026
2. Mita Safira 2013022044
3. Atikkotunnajiah 2013022056
Nama: Atikkotunnajiah
NPM: 2013022056
Izin menjawab
perhitungan sistem pendulum 2 massa dengan mekanika lagrangian
Dengan Anggota:
1. Latia Merinda 2013022026
2. Mita Safira 2013022044
3. Atikkotunnajiah 2013022056
Nama: Atikkotunnajiah
NPM: 2013022056
Izin menjawab
perhitungan sistem pendulum 2 massa dengan mekanika lagrangian
Nama : Mita Safira
NPM : 2013022044
Izin menjawab persamaan mekanika Newtonian dan Lagrangan pada Pesawat Ganda
NPM : 2013022044
Izin menjawab persamaan mekanika Newtonian dan Lagrangan pada Pesawat Ganda