Silakan bagi kelompok 1 berdiskusi dan mengunggah tugas pada forum ini. Kelompok lain juga dapat mendiskusikan hasil tugas dari kelompok ini. Terima kasih.
Forum Diskusi dan Unggah Tugas Kelompok 1
Nama Anggota Kelompok :
1. Insani Triana 2013022002
2. Annisa Dira 2013022004
3. Pita Nadia 2013022008
4. Alfia Rosa 2013022040
Nama : Annisa Dira
NPM : 2013022004
Assalamualaikum warahmatullohi wabarakatuh
Saya perwakilan dari kelompok 1 dan sebagai moderator akan mengawali diskusi mengenai penyelesaian tugas.
Berikut ini lampiran penyelesaian tugas mencari persamaan newtonian dan lagrangan pada sistem katrol 1(tunggal)


Anggota:
1. Insani Triana 2013022002
2. Annisa Dira 2013022004
3. Pita Nadia 2013022008
4. Alfia Rosa 2013022040
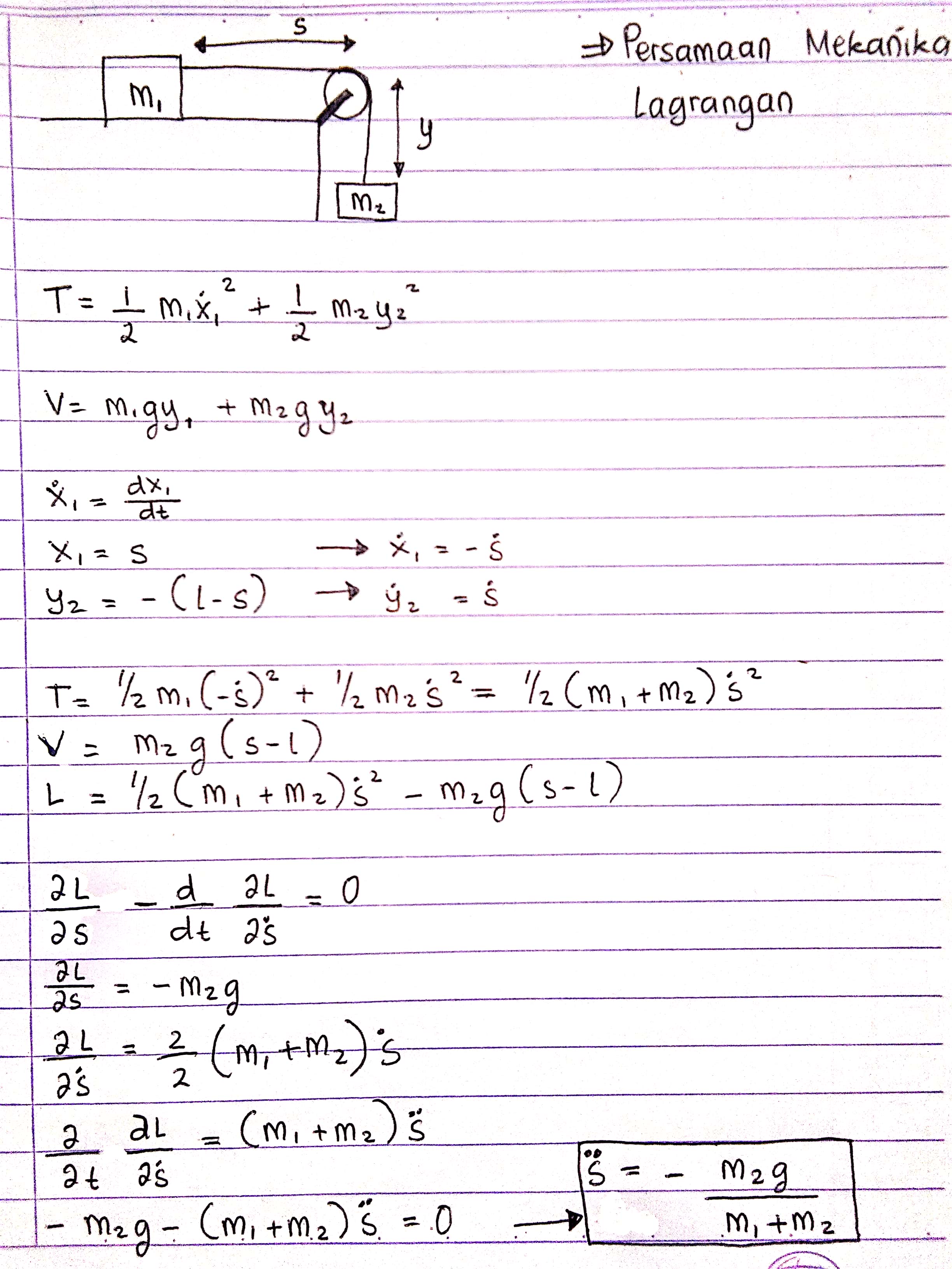
Nama : Pita Nadia
NPM : 2013022008
Izin mengunggah persamaan mekanika newtonian dan persamaan mekanika lagrangan pada mesin setengah Atwood.
Terima kasih
Re: Forum Diskusi dan Unggah Tugas Kelompok 1
Nama : Pita Nadia
NPM : 2013022008
Izin mengunggah persamaannya dalam bentuk gambar,


Terima kasih
Anggota:
1. Insani Triana 2013022002
2. Annisa Dira 2013022004
3. Pita Nadia 2013022008
4. Alfia Rosa 2013022040
Nama : Alfia Rosa
NPM : 2013022040
Izin mengunggah persamaan mekanika newtonian dan persamaan mekanika lagrangan pada sistem Benda Bidang Miring


Terima kasih
Nama Anggota Kelompok :
1. Insani Triana 2013022002
2. Annisa Dira 2013022004
3. Pita Nadia 2013022008
4. Alfia Rosa 2013022040
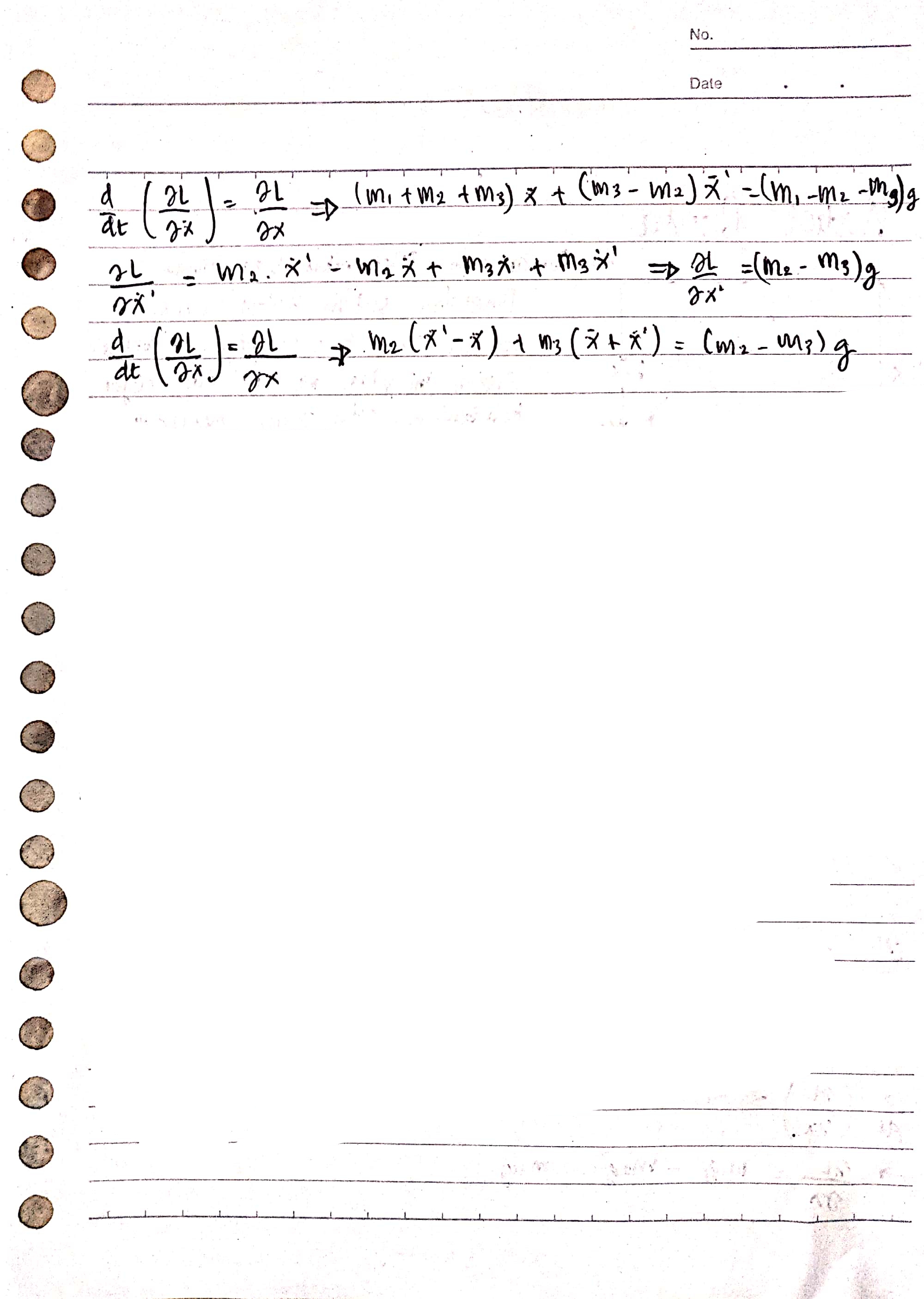
Nama : Insani Triana
NPM : 2013022002
Izin menjawab persamaan mekanika lagrangan dan newtonian pada Katrol Ganda




Kelompok 1
Anggota:
1. Insani Triana 2013022002
2. Annisa Dira 2013022004
3. Pita Nadia 2013022008
4. Alfia Rosa 2013022040
Nama : Pita Nadia
NPM : 2013022008
Izin mengunggah persamaan mekanika newtonian dan persamaan mekanika lagrangan pada sistem pendulum sederhana


Terima kasih
Kelompok 1
Anggota:
1. Insani Triana 2013022002
2. Annisa Dira 2013022004
3. Pita Nadia 2013022008
4. Alfia Rosa 2013022040
Nama : Pita Nadia
NPM : 2013022008
Izin mengunggah persamaan mekanika newtonian dan persamaan mekanika lagrangan pada sistem pegas

Terima kasih
Anggota:
1. Insani Triana 2013022002
2. Annisa Dira 2013022004
3. Pita Nadia 2013022008
4. Alfia Rosa 2013022040
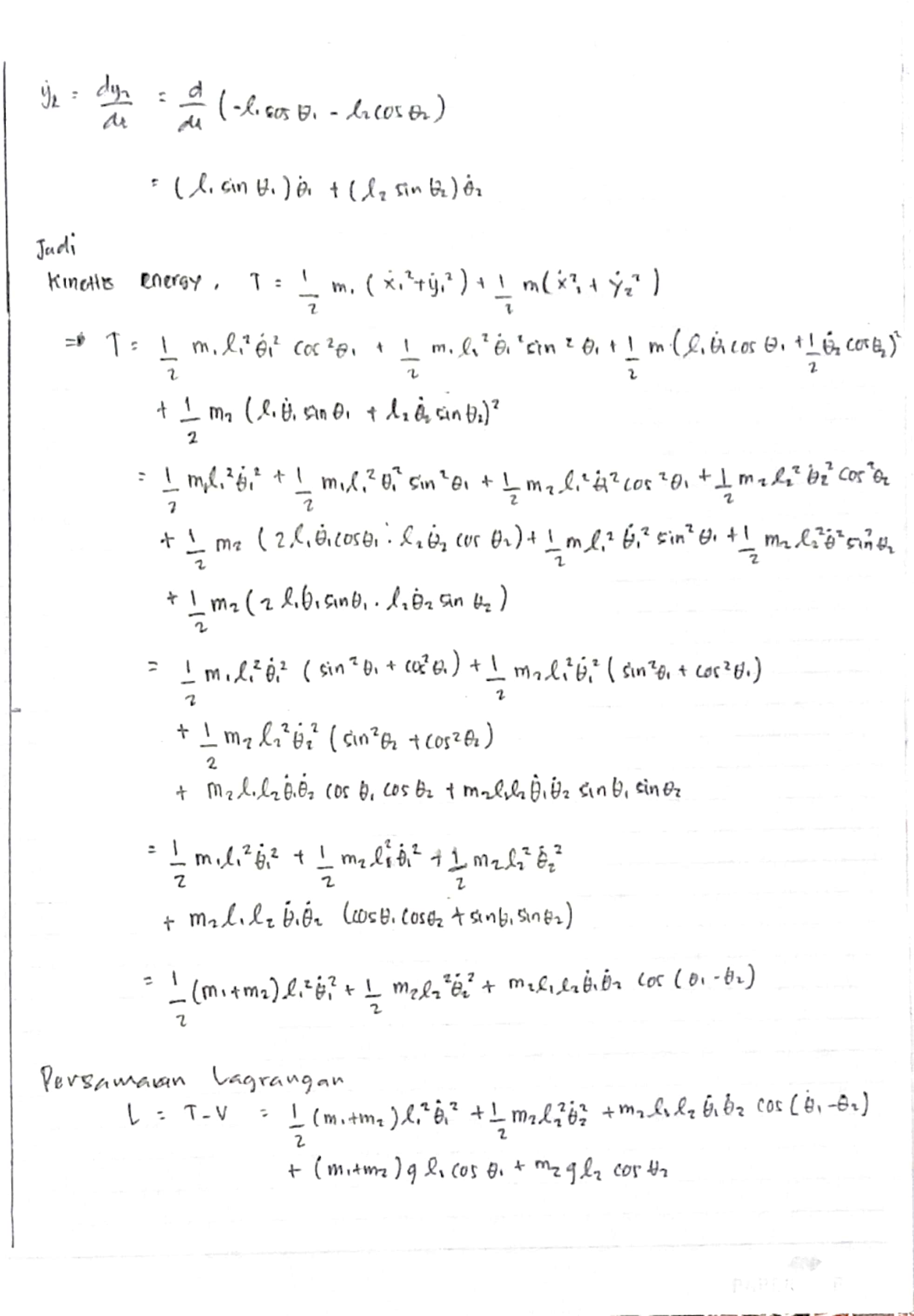
Nama : Annisa Dira
NPM : 2013022004
Izin mengunggah persamaan lagrangan pada sistem double pendulum

