Silakan bagi kelompok 7 berdiskusi dan mengunggah tugas pada forum ini. Kelompok lain juga dapat mendiskusikan hasil tugas dari kelompok ini. Terima kasih.
Forum Diskusi dan Unggah Tugas Kelompok 7
Assalamualaikum warahmatullahi wabarakatuh,
Nama : Sholea mutiara
Npm : 2013022048
Saya mewakili kelompok 7
1. Sholea Mutiara 2013022048
2. Tri Lestari 2013022058
3. Ade filla Vanessa 20130220
Mengawali diskusi Untuk Materi Persamaan Hamilton Berikut Penjabaran Materi Persamaan Hamilton :
Nama : Sholea mutiara
Npm : 2013022048
Saya mewakili kelompok 7
1. Sholea Mutiara 2013022048
2. Tri Lestari 2013022058
3. Ade filla Vanessa 20130220
Mengawali diskusi Untuk Materi Persamaan Hamilton Berikut Penjabaran Materi Persamaan Hamilton :


In reply to Sholea mutiara 2013022048
Re: Forum Diskusi dan Unggah Tugas Kelompok 7
Berikut materi Persamaan Hamilton Berupa File,
Untuk Teman-Teman Kelompok 7 agar dapat dilanjutkan dengan materi selanjutnya.
Terima kasih.
Untuk Teman-Teman Kelompok 7 agar dapat dilanjutkan dengan materi selanjutnya.
Terima kasih.
In reply to Sholea mutiara 2013022048
Re: Forum Diskusi dan Unggah Tugas Kelompok 7
kelompok 7
Anggota :
1. sholea mutiara 2013022048
2. Tri lestari 2013022058
3. Ade filla Vanessa 2013022020
Nama : Ade Filla Vannessa
NPM : 2013022020
Izin mengunggah persamaan mekanika newtonia dan persamaan mekanika lagrangan
Terimakasih
Anggota :
1. sholea mutiara 2013022048
2. Tri lestari 2013022058
3. Ade filla Vanessa 2013022020
Nama : Ade Filla Vannessa
NPM : 2013022020
Izin mengunggah persamaan mekanika newtonia dan persamaan mekanika lagrangan
Terimakasih
In reply to Sholea mutiara 2013022048
Re: Forum Diskusi dan Unggah Tugas Kelompok 7
by Tri Lestari -
kelompok 7
Anggota :
1. sholea mutiara 2013022048
2. Tri lestari 2013022058
3. Ade filla Vanessa 2013022020
Nama : Tri Lestari
NPM : 2013022058
Izin mengunggah persamaan mekanika newtonia dan persamaan mekanika lagrangan pada sistem pendulum sederhana.
Terimakasih
Anggota :
1. sholea mutiara 2013022048
2. Tri lestari 2013022058
3. Ade filla Vanessa 2013022020
Nama : Tri Lestari
NPM : 2013022058
Izin mengunggah persamaan mekanika newtonia dan persamaan mekanika lagrangan pada sistem pendulum sederhana.
Terimakasih
Nama : Sholea mutiara
Npm : 2013022048
Saya mewakili kelompok 7
1. Sholea Mutiara 2013022048
2. Tri Lestari 2013022058
3. Ade filla Vanessa 20130220
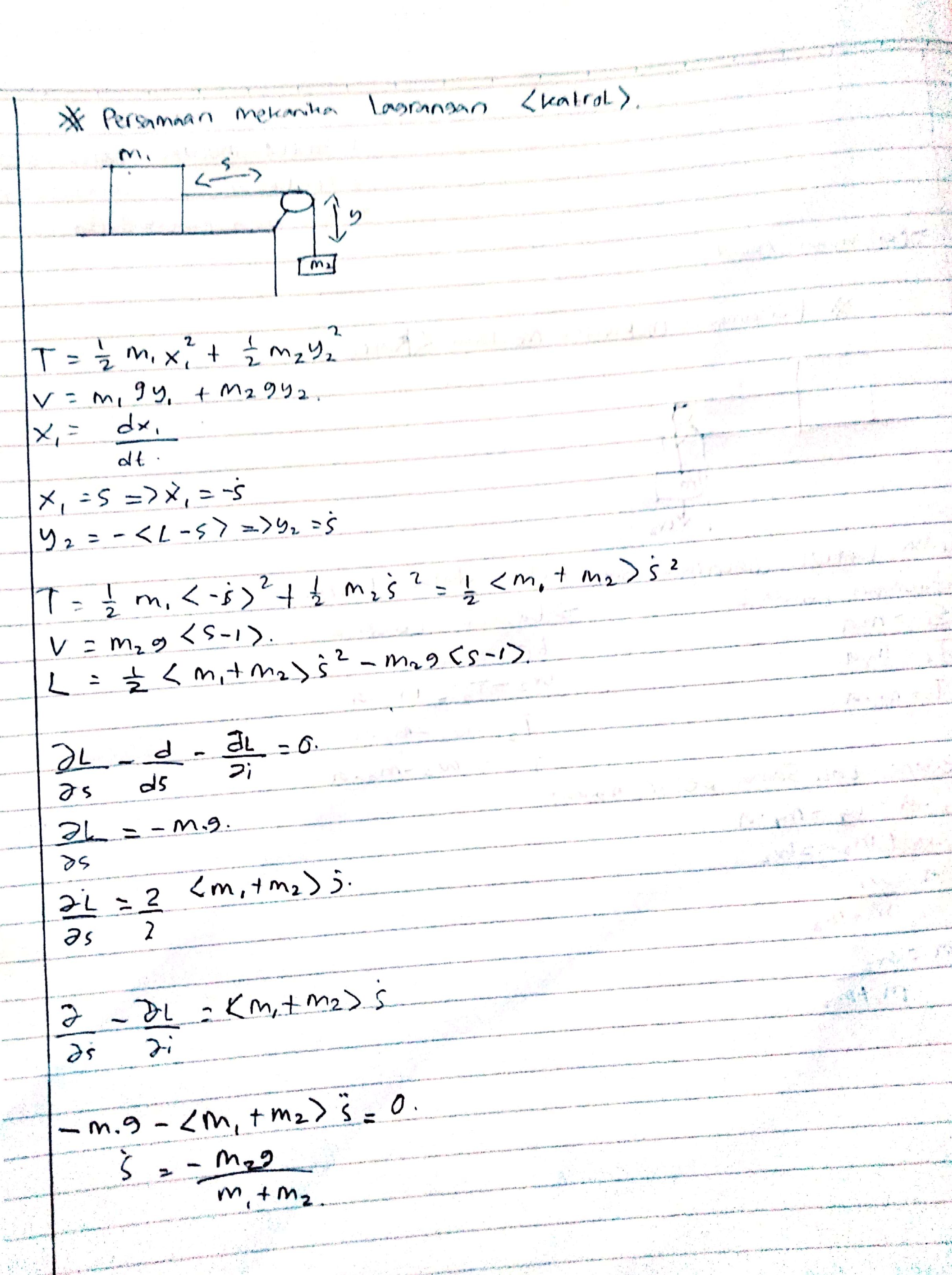
Berikut merupakan Materi untuk Persamaan Mekanika pada Newtonia dan persamaan mekanika lagrangan pada katrol Berikut Penjabaran Materi nya:
Npm : 2013022048
Saya mewakili kelompok 7
1. Sholea Mutiara 2013022048
2. Tri Lestari 2013022058
3. Ade filla Vanessa 20130220
Berikut merupakan Materi untuk Persamaan Mekanika pada Newtonia dan persamaan mekanika lagrangan pada katrol Berikut Penjabaran Materi nya:


In reply to Sholea mutiara 2013022048
Re: Forum Diskusi dan Unggah Tugas Kelompok 7
Nama : Sholea mutiara
Npm : 2013022048
Berikut merupakan file Materi Persamaan Mekanika pada Newtonia dan persamaan mekanika lagrangan pada katrol Berikut Penjabaran Materi nya:
Npm : 2013022048
Berikut merupakan file Materi Persamaan Mekanika pada Newtonia dan persamaan mekanika lagrangan pada katrol Berikut Penjabaran Materi nya: