Ayo Diskusi: Mekanika Lagrangan

Ayo Diskusi: Mekanika Lagrangan

Jumlah balasan: 11

Silakan Anda pelajari materi Mekanika Lagrangan (Lagrangian Mechanics) (Bab X) yang ada pada buku Analytical Mechanics (Fowles & Cassiday) atau sumber lainnya. Adapun yang akan kita diskusikan:

  1. Prinsip Variasi Hamilton
  2. Koordinat yang diperumum
  3. Energi Kinetik dan Energi Potensial dalam Koordinat yang Diperumum
  4. Persamaan Lagrangan Gerak bagi Sistem Konservatif
  5. Beberapa Penerapan Persamaan Lagrangan
  6. Persamaan Hamiltonan 
Sebagai balasan Kiriman pertama

Re: Ayo Diskusi: Mekanika Lagrangan

oleh Pita Nadia 2013022008 -
Nama : Pita Nadia
NPM : 2013022008

Izin bertanya,
Apakah bedanya persamaan hamiltonan dengan persamaan larangan?
Terima kasih
Sebagai balasan Pita Nadia 2013022008

Re: Ayo Diskusi: Mekanika Lagrangan

oleh Tri Lestari -
Nama : Tri Lestari
NPM : 2013022058

Izin mencoba menjawab,
Secara singkat perbedaan antara Lagrange dan metode Hamilton yaitu dalam formalismeya Lagrange koordinat umum yang digunakan adalah posisi dan kecepatan, sehingga menggunakan persamaan diferensial linier kedua. Di Hamilton formalisme koordinat umum yang digunakan adalah posisi dan momentum, sehingga menggunakan persamaan diferensial orde pertama. Metode ini tidak hanya membantu dalam memecahkan persamaan gerak sistem, tetapi juga dapat digunakan untuk menghitung kendala dan gaya reaksi.
Terimakasih
Sebagai balasan Kiriman pertama

Re: Ayo Diskusi: Mekanika Lagrangan

oleh Sholea mutiara 2013022048 -
Nama : Sholea Mutiara
NPM : 2013022048

Izin Bertanya,
pada Materi persamaan Lagrangan Paling banyak gunakan sebagai apa, jelaskan Pernyataan yang anda berikan ?
Terima Kasih.
Sebagai balasan Kiriman pertama

Re: Ayo Diskusi: Mekanika Lagrangan

oleh Fadiyah Farah Khoirunnisaa 2013022016 -
Nama : Fadiyah Farah Khoirunnisaa
Npm: 2013022016

Izin bertanya,
Bagaimana prinsip Variasi Hamilton ?
Terimakasih
Sebagai balasan Fadiyah Farah Khoirunnisaa 2013022016

Re: Ayo Diskusi: Mekanika Lagrangan

oleh Rosa Salsabila Latifah 2013022050 -
Nama; Rosa Salsabila Latifah
NPM: 2013022050

Izin menjawab,
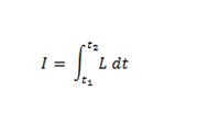
Gerak sembarang sistem terjadi sedemikian rupa sehingga nilai integral

selalu bernilai ekstrim, dengan I disebut aksi dan fungsi lagrangan L = T- V. Atau dengan kata lain semua kemungkinan yang terjadi pada sistem dalam selang waktu t2-t1, bentuk lintasan sistem yang sesungguhnya menyebabkan nilai integral persamaan 1 maksimum dan minimum.

Terima Kasih.
Sebagai balasan Fadiyah Farah Khoirunnisaa 2013022016

Re: Ayo Diskusi: Mekanika Lagrangan

oleh Tri Lestari -
Nama : Tri Lestari
Npm : 2013022058

Izin bertanya,
Mekanika Lagrangian adalah metode analisis di dalam mekanika yang tidak mempertimbangkan keberadaan gaya dalam pergerakan yang timbul. Yang ingi saya tanyakan mengapa perlu adanya formulasi lagrangan?
Terimakasih
Sebagai balasan Kiriman pertama

Re: Ayo Diskusi: Mekanika Lagrangan

oleh Gustin wardani 2013022030 -
Nama : Gustin Wardani
NPM : 2013022030

Izin bertanya,
Mengapa persamaan gerak partikel yang dinyatakan oleh persamaan Lagrange dapat diperoleh dengan meninjau energi kinetik dan energi potensial tanpa perlu meninjau gaya yang beraksi pada partikel?
Terima Kasih
Sebagai balasan Gustin wardani 2013022030

Re: Ayo Diskusi: Mekanika Lagrangan

oleh Rosa Salsabila Latifah 2013022050 -
Nama: Rosa Salsabila Latifah
NPM: 2013022050

Izin menjawab
Karena energi kinetik partikel dalam sistem koordinat Kartesius adalah fungsi dari kecepatan, energi potensial partikel yang bergerak dalam medan gaya konservatif adalah fungsi dari posisi. Jika didefinisikan Lagrangian sebagai selisih antara energi kinetik dan energi potensial.

Terima Kasih
Sebagai balasan Gustin wardani 2013022030

Re: Ayo Diskusi: Mekanika Lagrangan

oleh Tri Lestari -
Nama : Tri Lestari
Npm : 2013022058

Izin bertanya,
Dalam Mekanika Lagrange menjelaskan mekanika sebagai suatu kesatuan sistem yang menyeluruh, jelaskan mengapa? Dan kegunaan dari mekanika lagrange?
Terimakasih
Sebagai balasan Tri Lestari

Re: Ayo Diskusi: Mekanika Lagrangan

oleh Annisa Dira 2013022004 -
Nama: Annisa Dira
NPM: 2013022004

Izin menjawab,
Dalam mekanika Newtonian, konsep gaya diperlukan sebagai kuantitas fisis yang berperan dalam aksi terhadap partikel. Dalam dinamika Lagrangian, kuantitas fisis yang ditinjau adalah energi kinetik dan energi potensial partikel. Keuntungannya, karena energi adalah besaran skalar, maka energi bersifat invarian terhadap transformasi koordinat.
Dalam kondisi tertentu, mungkin terhadap atau sulit menyatakan seluruh gaya yang beraksi partikel, maka Newtonian menjadi rumit pula atau bahkan tak mungkin dilakukan. Oleh karena itu, pada perkembangan berikutnya dari mekanika, prinsip Hamilton berperan penting karena hanya meninjau energi partikel saja.

Terima kasih
Sebagai balasan Kiriman pertama

Re: Ayo Diskusi: Mekanika Lagrangan

oleh Winda Dwi Safitri -
Nama : Winda Dwi Safitri
NPM : 2013022018

Izin bertanya,
Jika persamaan lagrangan adalah enekgi kinetik dikurangi energi potensial apakah ada hubungan antara energi mekanik dengan lagrangan? dan jika ada bagaimana hubungan tersebut. Terimakasih