Nama : Fitri Nur Indah Sari
NPM : 2013022032
Izin menjawab,
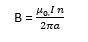
Pada dasarnya sebuah kawat lurus berarus listrik yang kemudian dibuat melingkar mempunyai prinsip yang sama. Medan magnet akan melingkar-lingkar disekeliling kawat tersebut . Dengan kata lain medan magnet di sekitar kawat melingkar berarus listrik mempunyai konsep yang sama dengan medan magnet di sekitar kawat lurus berarus listrik.
Arah Medan listrik dapat ditunjukkan dengan kaidah tangan kanan, yaitu ibu jari menunjukkan arah medan magnet, sedangkan gemggaman empat jari menunjukkan arah arus listriknya.
Terima kasih
NPM : 2013022032
Izin menjawab,
Pada dasarnya sebuah kawat lurus berarus listrik yang kemudian dibuat melingkar mempunyai prinsip yang sama. Medan magnet akan melingkar-lingkar disekeliling kawat tersebut . Dengan kata lain medan magnet di sekitar kawat melingkar berarus listrik mempunyai konsep yang sama dengan medan magnet di sekitar kawat lurus berarus listrik.
Arah Medan listrik dapat ditunjukkan dengan kaidah tangan kanan, yaitu ibu jari menunjukkan arah medan magnet, sedangkan gemggaman empat jari menunjukkan arah arus listriknya.
Terima kasih

