RUANG DISKUSI DAN UPLOAD TUGAS
NPM : 2013022002
Izin bertanya,
Bagaimana solusi yang bisa dilakukan jika dalam menentukan arus yang mengalir dalam rangkaian, rangakaian nya tidak dapat dibentuk menjadi dikombinasikan seri dan paralel pada rangkaian kompleks?
Terima kasih
NPM : 2013022040
Izin menjawab,
Pada rangkaian kompleks ketika suatu rangkaian tidak dapat dibentuk menjadi rangkaian dengan kombinasi seri dan paralel dalam menentukan arus yang mengalir, maka dapat digunakan hukum hukum yang dikemukakan oleh kirchoff. Hukum kirchoff ini merupakan aplikasi sederhana dari hukum kekekalan momentum dan energi. Ada dua hukum yang berlaku bagi rangkaian yang memiliki arus tetap, kedua hukum ini yaitu :
1. Pada setiap rangkaian tertutup jumlah aljabar dari beda potensialnya harus = 0.
2. Pada setiap titik percabangan jumlah arus yang masuk melalui titik tersebut sama dengan jumlah arus yang keluar dari titik tersebut.
Terima kasih
Npm : 2013022010
Izin menjawab,
Adapun solusinya dengan menggunakan 2 hukum yang terdapat dalam Hukum Kirchoff, antara lain :
1. Pada setiap titik percabangan jumlah arus yang masuk melalui titik tersebut sama dengan jumlah arus yang keluar dari titik tersebut.
2. Pada setiap rangkaian tertutup jumlah aljabar dari beda potensialnya harus = 0.
Terimakasih
NPM : 2013022040
Izin bertanya,
Bagaimana cara menganalogikan hukum kirchoff untuk rangkaian majemuk?
Terima kasih
NPM : 2013022002
Izin menjawab,
]hukum kirchoff untuk terangkaian majemuk atau rangkaian yang terdiri dari dua atau lebih loop dapat dianalogikan seperti aliran dua sungai yang bercabang jika arah alirannya berlawanan, maka arah aliran sungai kecil mengikuti arah aliran sungai yang besar. Analogi dengan aliran sungai di atas jika suatu rangkaian sederhana yang tidak dapat dianalisa dengan mengganti kombinasi resistor dalam seri atau paralel dengan resistansi ekivalen mereka maka rangkaian tersebut dianalisis dengan menerapkan hukum kirchoff.
Berikut ini adalag gambarnya

Npm : 2013022048
Izin menjawab,
Langkah-langkah umum untuk menyelesaikan rangkaian listrik majemuk :
1)menggambar rangkaian listriknya
2)menetapkan arus (simbol dan arah) dalam setiap cabang yang penting
3)menyederhanakan sistem susunan seri dan pararel jika mungkin
4)menetapkan loop berikut arahnya pada setiap rangkaian tertutup
5)menulis setiap persamaan setiap loop sesuai hukum II Kirchhof
6)menulis persamaan arus tiap percabangan sesuai hukum I Kirchhof
7)menghitung persamaan dengan teliti
Terima kasih
NPM : 2013022008
Izin menjawab,
Pada rangkaian majemuk menyelesaikan permasalahnnya memerlukan konsep Hukum I Kirchoff dan Hukum II Kirchoff. Hukum Kirchoff dianalogikan seperti aliran 2 sungai yang bercbang untuk rangkaian majemuk. Maksudnya apabila eh aliran berlawanan maka arah aliran sungai kecil mengikuti arah aliran sungai besar. Adapun langkah-langkah untuk menyelesaikan rangkaian majemuk, yaitu:
2. Menetapkn arah kuat arus yang mengalir di setiap cabang
3. Menuliskan persamaan-persamaan arus untuk di setiap titik cabang menggunakan Hukum I Kirchoff.
4. Menetapkan loop beserta arahnya pada setiap rangkaian tertutup.
5. Menuliskan persamaan-persamaan untuk setiap loop menggunakan Hukum II Kirchoff.
6. Menghitung besaran-besaran yang dinyatakan dengan menggunakan persamaan-persamaan Hukum II Kirchoff.
Nama: Rosa Salsabila Latifah
Npm: 2013022050
Izin menambahkan,
Rangkaian Listrik majemuk adalah rangkaian listrik yang terdiri dari dua buah loop atau lebih. Gambar berikut adalah rangkaian listrik majemuk

Terima Kasih.
NPM : 2013022006
Izin menambahkan,
Untuk menganalisis suatu rangkaian listrik menggunakan Hukum II Kirchhoff diperlukan beberapa aturan atau perjanjian.
1. Pilih loop untuk masing-masing lintasan tertutup dengan arah tertentu. Pada dasarnya pemilihan arah loop bebas namun jika memungkinkan usahakan searah dengan arah arus. Maksudnya bebas disini bebas yah arahnya mau searah jarum jam atau berlawanan arah jarum jam.

2. Pada suatu cabang, jika arah loop sama dengan arah arus maka penurunan tegangan (IR) bertanda positif, jika berlawanan arah maka penurunan tegangan (IR) bertanda negatif. Contohnya gini. Kalo misalkan arah loop searah jarum jam terus arah arusnya juga searah jarum jam, maka nanti penurunan tegangan (IR) positif karena sama-sama searah jarum jam.

Kalo misalkan nanti loopnya berlawanan arah jarum jam tapi arusnya searah jarum jam maka IR-nya bertanda negatif.

3. Jika saat mengikuti arah loop, kutub sumber tegangan yang lebih dulu dijumpai adalah kutub positif maka GGL bertanda positif.

Sebaliknya, jika kutub yang lebih dahulu dijumpai adalah kutub negatif maka GGL bertanda negatif.

NPM : 2013022008
Izin bertanya,
Bagaimana cara mencari atau menentukan arus listrik pada rangkaian yang memiliki lebih dari 3 loop?
Terima kasih
Re: RUANG DISKUSI DAN UPLOAD TUGAS
Npm: 2013022056
Izin menjawab,
Pada rangkaian dengan tiga loop atau lebih dalam menyelesaikan permasalahannya memerlukan konsep Hukum I Kirchoff dan Hukum II Kirchhoff. Jadi untuk menyelesaikan rangkaian majemuk ini kita harus menguasai konsep Hukum I Kirchhoff.
Terimakasih
Re: RUANG DISKUSI DAN UPLOAD TUGAS
NPM : 2013022032
Izin menjawab,
Rangkaian yang memiliki dua loop atau lebih sering disebut juga dengan rangkaian majemuk. Pada rangkaian dengan dua loop atau lebih dalam menyelesaikan permasalahnnya memerlukan konsep Hukum I Kirchoff dan Hukum II Kirchhoff. Adapun langkah-langkah dalam menyelesaikan rangkaian majemuk adalah sebagai berikut.
1. Gambarlah rangkaian majemuk tersebut.
2. Tetapkanlah arah kuat arus yang mengalir di setiap cabang
3. Tulislah persamaan-persamaan arus untuk di setiap titik cabang menggunakan Hukum I Kirchhoff.
4. Tetapkan loop beserta arahnya pada setiap rangkaian tertutup.
5. Tulislah persamaan-persamaan untuk setiap loop menggunakan Hukum II Kirchhoff.
6.Hitung besaran-besaran yang dinyatakan dengan menggunakan persamaan-persamaan Hukum II Kirchhoff.
Terima kasih
Npm : 2013022048
Izin menjawab,
Harus menyelesaikan permasalah kita diperlukan mengetahui konsep hukum I Kirchhoff dan hukum Ini Kirchhoff II sehingga permasalahan yang ditimbulkan dari rangkaian yang memiliki lebih dari 3 loop akan terselesaikan.
Terima kasih.
Re: RUANG DISKUSI DAN UPLOAD TUGAS
Npm: 2013022050
Izin menambahkan,
Dalam rangkaian yang memiliki 3 loop atau lebih dapat diselesaikan dengan langkah pertama yaitu beri nama loop I, II, dan III untuk masing-masing loop di kiri, tengah dan kanan. Setelah itu tentukan dulu arah arus di tiap-tiap loop (panah warna biru). Kuat arus loop berturut-turut dinamai x, y, dan z. Lalu hitung loop 1,2 dan 3 dengan menggunakan hukum Kirchhoff Σε + ΣIR = 0. Setelah diperoleh 3 buah persamaan linear dengan 3 variabel, yaitu x, y dan z. Persamaan bisa diselesaikan dengan cukup mudah menggunakan cara eliminasi dan substitusi seperti di SPLTV pada pelajaran matematika atau pakai cara determinan matriks. Lalu sederhanakan kembali nilai hasil perhitungan tersebut.
Terima kasih.
NPM : 2013022006
Izin menambahkan, Rangkaian yang memiliki dua loop atau lebih sering disebut juga dengan rangkaian majemuk. Pada rangkaian dengan dua loop atau lebih dalam menyelesaikan permasalahnnya memerlukan konsep Hukum I Kirchoff dan Hukum II Kirchhoff. Jadi untuk menyelesaikan rangkaian majemuk ini anda kembali dituntut untuk menguasai konsep Hukum I Kirchhoff. Dengan konsep Hukum Kirchoff 1 merupakan pernyataan tentang hukum kekekalan muatan listrik. Jumlah muatan listrik yang masuk dan keluar titik percabangan jalur rangkaian harus sama konstan. Karena aliran muatan listrik disebut sebagai arus listrik, maka Hukum Kirchoff 2 bisa dinyatakan sebagai hukum kekekalan arus listrik.
Terimakasih.
NPM : 2013022006
Izin menambahkan, konsep pada Hukum Kirchoff 2 merupakan implementasi hukum kekekalan energi pada rangkaian listrik tertutup. Jadi ketika muatan yang mengalir dalam rangkaian sudah kembali ke titik awal, jumlah energinya harus sama dengan sebelum muatan tersebut bergerak. Hal ini akan berkaitan dengan transisi energi ketika muatan melewati resistor dan melewati sumber tegangan. Energi dalam rangkaian listrik bersumber dari potensial listrik di setiap titiknya, dan karena bersifat kekal, maka jumlah beda potensial dalam rangkaian tertutup harus nol.
Terimakasih.
Npm : 2013022058
Izin menambahkan,
Rangkaian dengan dua loop atau lebih
Rangkaian yang memiliki dua loop atau lebih disebut juga rangkaian majemuk.
Langkah-langkah dalam menyelesaikan rangkaian majemuk ini adalah sebagai
Berikut:
Rangkaian dengan dua loop:
Aturan Hukum II Kirchoff :
1. Pilih loop untuk masing-masing lintasan tertutup dengan arah
tertentu. Pada dasarnya, pemilihan loop bebas, namun jika
memungkinkan usahakan searah dengan arus.
2. Jika pada suatu cabang, arah loop sama dengan arah arus, maka
penurunan tegangan (IR) bertanda positif, sedangkan bila berlawana
arah, maka penurunan tegangan (IR) bertanda negative.
3. Bila saat mengikuti arah loop, kutub sumber tegangan lebih
dahulu dijumpai adalah kutub positif, maka ggl _ bertanda positif,
sebaliknya bila yang lebih dahulu dijumpai adalah kutub negative,
maka ggl _ bertanda negative.
Terimakasih
NPM : 2013022026
Izin mencoba menjawab
Pada rangkaian dengan tiga loop atau lebih dalam menyelesaikan permasalahnnya memerlukan konsep Hukum I Kirchhoff dan Hukum II Kirchhoff. Langkah-langkah dalam menyelesaikan rangkaian tersebut adalah sebagai berikut.
1. Gambarlah rangkaian majemuk tersebut.
2. Tetapkanlah arah kuat arus yang mengalir di setiap cabang
3. Tulislah persamaan-persamaan arus untuk di setiap titik cabang menggunakan Hukum I Kirchhoff.
4. Tetapkan loop beserta arahnya pada setiap rangkaian tertutup.
5. Tulislah persamaan-persamaan untuk setiap loop menggunakan Hukum II Kirchhoff.
6. Hitung besaran-besaran yang dinyatakan dengan menggunakan persamaan-persamaan Hukum II Kirchhoff.
Terimakasih
2013022064
Izin menjawab
Rangkaian yang memiliki 2 loop atau rangkaian majemuk. Pada rangkaian dengan dua loop atau lebih dalam menyelesaikan permasalahnnya memerlukan konsep Hukum I Kirchoff dan Hukum II Kirchhoff. Agar memiliki lebih dari 3 loop
Npm : 2013022048
Izin menambahkan
KCL (Kirchoff Current Law), dikenal sebagai hukum I. membahas tentang kuat arus pada titik cabang. KVL (Kirchoff Voltage Law), dikenal sebagai hukum II. membahas rentang potensial pada loop suatu rangkaian
Terima kasih.
NPM : 2013022022
Izin bertanya,
Bagaimana distribusi medan magnet pada solenoid?
Terimakasih
NPM : 2013022046
Izin menjawab,
Solenoid pada bagian dalam, garisgaris fluks magnetik diberkas berdekatan dan
lurus. Jarak antara semua garis itu sebenarnya sama. Di luar solenoid, garis-garis fluks magnetik membuka ke luar dan menutup kembali membentuk lingkaran tertutup yang memanjang. Kerapatan fluks magnetik di sebelah dalam solenoid dengan demikian jauh lebih besar dari pada di sebelah luarnya. Karena Medan magnet yang seragam dihasilkan pada pusat solenoid, sedangkan medan magnet yang terbentuk diluar solenoid lebih lemah dan divergen untuk meningkatkan medan magnet dari solenoid dapat ditambahkan inti pada bagian tengah kumparan.
Terima kasih
Re: RUANG DISKUSI DAN UPLOAD TUGAS
NPM : 2013022054
Izin bertanya dari jawaban diaatas, Di titik manakah pada sumbu solenoida medan magnet maksimum?
Terima kasih
Re: RUANG DISKUSI DAN UPLOAD TUGAS
NPM : 2013022012
Izin menjawab,
Solenoida merupakan penghantar melingkar dengan jumlah banyak yang berbentuk kumparan panjang. Medan magnet yang ditimbulkan oleh solenoida akan lebih besar daripada yang ditimbulkan oleh penghantar lainnya karena pada solenoida memiliki medan magnet yang berarus listrik dan bergantung pada besar kuat arus listrik dan banyaknya kumparan.
Garis-garis gaya magnet pada solenoida merupakan gabungan dari garis-garis gaya magnet dari kawat melingkar. Gabungan itu akan menghasilkan medan magnet yang sama dengan medan magnet sebuah magnet batang yang panjang yaitu magnet yang memiliki dua kutub yaitu kutub positif dan kutub negatif. Kedua Kutub letaknya di ujung. Disitulah kekuatan magnet begitu kuat.
Terima kasih
Re: RUANG DISKUSI DAN UPLOAD TUGAS
Npm : 2013022048
Izin Menjawab,
Jika Solenoida dialiri arus listrik maka akan menghasilkan medan magnet. Medan magnet yang dihasilkan solenoida berarus listrik bergantung pada besar kuat arus listrik dan banyaknya kumparan. Garis-garis gaya magnet pada solenoida merupakan gabungan dari garis-garis gaya magnet dari kawat melingkar. Gabungan itu akan menghasilkan medan magnet yang sama dengan medan magnet sebuah magnet batang yang panjang. Kumparan seolah-olah mempunyai dua kutub, yaitu ujung yang satu merupakan kutub utara dan ujung kumparan yang lain merupakan kutub selatan.
Terima Kasih.
Re: RUANG DISKUSI DAN UPLOAD TUGAS
Npm: 2013022050
Izin menambahkan,
Sebuah penghantar melingkar jika dialiri arus listrik akan menghasilkan medan magnet. Penghantar melingkar yang berbentuk kumparan panjang disebut Solenoida. Medan magnet yang ditimbulkan oleh solenoida akan lebih besar daripada yang ditimbulkan oleh sebuah penghantar melingkar, apalagi oleh sebuah penghantar lurus. Hal tersebut terjadi jika Solenoida dialiri arus listrik maka akan menghasilkan medan magnet. Medan magnet yang dihasilkan solenoida berarus listrik bergantung pada besar kuat arus listrik dan banyaknya kumparan.
Garis-garis gaya magnet pada solenoida merupakan gabungan dari garis-garis gaya magnet dari kawat melingkar. Gabungan itu akan menghasilkan medan magnet yang sama dengan medan magnet sebuah magnet batang yang panjang. Kumparan seolah-olah mempunyai dua kutub, yaitu ujung yang satu merupakan kutub utara dan ujung kumparan yang lain merupakan kutub selatan.
Untuk menentukan arah medan magnet pada solenoida digunakan dengan aturan kaidah tangan kanan. Ibu jari sebagai arah medan magnet sedangkan keempat jari yang lain merupakan arah arus listrik. Besarnya medan magnet disekitar solenoida bergantung pada banyaknya lilitan kumparan dan besarnya arus listrik yang mengalir. Semakin besar arus listrik dan semakin banyak jumlah lilitan maka semakin besar medan magnet yang dihasilkan.
Terima kasih.
NPM: 2013022004
Izin menjawab,

Gambar di atas merupakan gambar distribusi medan magnet jika dilihat dari ujung medan magnet. Jika diperhatikan maka terdapat ellips yang banyak dengan berbeda warna. Perbedaan warna ini berarti medan magnet tiap daerah berbeda beda,hal ini dikarenakan medan magnet berkumpul di bagian tengah solenoid, hal ini karena bagian tengah solenoid mempunyai medan magnet terbesar dibandingkan dengan yang lain. Pada gambar di atas terdapat 2 titik yang berarti diameter solenoid.
NPM : 2013022006
Izin menambahkan, yang dimaksud dengan Solenoida adalah gabungan banyak kawat melingkar (loop arus melingkar). Garis medan di dalam kumparan hampir paralel, terdistribusi uniform dan berdekatan.
Medan di luar solenoida nonuniform & lemah. Jika lilitan rapat & panjang solenoida tertentu, garis medan seperti terlihat pada gambar. Garis medan "divergen" / menyebar dari 1 ujung & mengumpul pada ujung yang lain. Ujung-ujungnya berlaku seperti kutub utara & selatan. Semakin panjang solenoida, semakin uniform medan di dalamnya. Solenoida ideal jika kawat rapat & panjangnya >> radiusnya. Di luar solenoid, garis-garis fluks magnetik membuka ke luar dan menutup kembali membentuk lingkaran tertutup yang memanjang (Farley, 2001). Kerapatan fluks magnetik di sebelah dalam solenoid dengan demikian jauh lebih besar dari pada di sebelah luarnya. Karena Medan magnet yang seragam dihasilkan pada pusat solenoid, sedangkan medan magnet yang terbentuk diluar solenoid lebih lemah dan divergen untuk meningkatkan medan magnet dari solenoid dapat ditambahkan inti pada bagian tengah kumparan.
NPM : 2013022008
Izin menjawab,
Penghantar melingkar yang berbentuk seperti kumparan panjang disebut Solenoida. Medan magnet yang ditimbulkan oleh solenoida akan lebih besar daripada yang ditimbulkan oleh sebuah penghantar melingkar. Jika Solenoida dialiri arus listrik maka akan menghasilkan medan magnet. Medan magnet yang dihasilkan solenoida berarus listrik bergantung pada besar kuat arus listrik dan banyaknya kumparan.
Garis-garis gaya magnet pada solenoida merupakan gabungan dari garis-garis gaya magnet dari kawat melingkar.
Bagian tengah solenoid mempunyai medan magnet terbesar dibandingkan dengan yang lain.
Kumparan seolah-olah mempunyai dua kutub, yaitu ujung yang satu merupakan kutub utara dan ujung kumparan yang lain merupakan kutub selatan.
Dalam menentukan arah medan magnet pada solenoida digunakan dengan aturan kaidah tangan kanan.
Terima kasih
NPM : 2013022006
Izin bertanya, bagaimana induksi magnetik pada sumbu toroida ?
Terimakasih.
Re: RUANG DISKUSI DAN UPLOAD TUGAS
NPM : 2013022032
Izin menjawab,
Solenoida panjang yang dilengkungkan sehingga berbentuk lingkaran dinamakan toroida, seperti yang terlihat pada gambar berikut:


Terima kasih
Re: RUANG DISKUSI DAN UPLOAD TUGAS
Npm: 2013022050
Izin menambahkan,
Toroida merupakan suatu solenoida yang dilengkungkan sehingga membentuk lingkaran. Sebuah toroida yang ideal terdiri dari lilitan kawat konduktor panjang yang melingkar, berbentuk cincin donat, dan terbuat dari bahan non-konduktor.
Perhatikan ilustrasi toroida di bawah ini.

Npm : 2013022058
Izin menambahkan,
toroida merupakan suatu solenoida yang dilengkungkan sehingga membentuk lingkaran. Sebuah toroida yang ideal terdiri dari lilitan kawat konduktor panjang yang melingkar, berbentuk cincin donat, dan terbuat dari bahan non-konduktor.
Persamaan besarnya induksi magnetik pada titik yang berada di pusat toroida adalah seperti di bawah :
Keterangan:
B = induksi magnetik di toroida
I = kuat arus listrik dalam toroida
N = jumlah lilitan dalam toroida
r = jari-jari toroida
Terimakasih
Re: RUANG DISKUSI DAN UPLOAD TUGAS
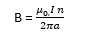
B= μ0.I.n
Dengan n adalah jumlah lilitan kawat (N) per satuan panjang kawat. Dalam hal ini panjang kawat adalah sama dengan keliling lingkaran ( 2pa ), sehingga persamaannya menjadi sebagai berikut.
dimana :
B = induksi magnetik
µ0 = permeabilitas udara/vakum
N = jumlah lilitan
π = 22/7=3,14
a = jari-jari efektif toroida
NPM : 2013022062
Izin bertanya,
Apakah hukum tegangan Kirchhoff bekerja dalam lingkaran yang tidak memiliki baterai?
Terima kasih
Npm : 2013022010
Izin menjawab,
Ya, hukum tegangan Kirchoff memang akan bekerja pada loop seperti itu. Pikirkan kapasitansi muatan yang terhubung ke resistor melalui kunci. Ketika kunci dihidupkan, arus mulai mengalir. Arus ini berkurang seiring dengan pelepasan kapasitansi. Namun, pada setiap titik waktu, KVL akan berlaku sempurna:
Q/C = IR
Terima kasih
NPM : 2013022008
Izin menjawab,
Ya, hal itu bisa saja terjadi.
Hukum tegangan menyatakan bahwa tegangan sumber total dalam kabut rangkaian sama dengan jumlah penurunan tegangan dalam rangkaian.
Apabila kita menganggap sumbernya nol, maka di sini jumlah semua penurunan tegangan akan sama dengan nol.
Terima kasih
Re: RUANG DISKUSI DAN UPLOAD TUGAS
Npm: 2013022056
Izin menjawab,
Hukum tegangan menyatakan bahwa tegangan sumber total dalam kabut rangkaian sama dengan jumlah penurunan tegangan dalam rangkaian.
jika kita menganggap sumbernya nol, maka jumlah semua penurunan tegangan akan sama dengan nol.
Terimakasih
NPM : 2013022040
Izin menjawab,
Ya, hukum tegangan Kirchhoff bekerja dalam lingkaran yang tidak memiliki baterai. Karena hukum tegangan menyatakan bahwa tegangan sumber total dalam kabut rangkaian sama dengan jumlah penurunan tegangan dalam rangkaian.
Sekarang jika kita menganggap sumbernya nol, maka di sini jumlah semua penurunan tegangan akan sama dengan nol.
Terima kasih
Npm : 2013022010
Izin bertanya,
Bagaimana induksi magnetik pada sumbu solenoida?
Terima kasih
NPM : 2013022062
Izin menjawab,
Solenoida didefinisikan sebagai sebuah kumparan dari kawat yang diameternya sangat kecil dibanding panjangnya. Apabila dialiri arus listrik, kumparan ini akan menjadi magnet listrik. Medan solenoida tersebut merupakan jumlah vektor dari medan-medan yang ditimbulkan oleh semua lilitan yang membentuk solenoida tersebut.

Pada Gambar diatas memperlihatkan medan magnetik yang terbentuk pada solenoida. Kedua ujung pada solenoida dapat dianggap sebagai kutub utara dan kutub selatan magnet, tergantung arah arusnya. Kita dapat menentukan kutub utara pada gambar tersebut adalah di ujung kanan, karena garis-garis medan magnet meninggalkan kutub utara magnet.
Terima kasih
Re: RUANG DISKUSI DAN UPLOAD TUGAS
NPM : 2013022062
Izin menambahkan,
Jika arus I mengalir pada kawat solenoida, maka induksi magnetik dalam solenoida (kumparan panjang) berlaku:
B= μ0.I.n
Persamaan diatas digunakan untuk menentukan induksi magnet di tengah solenoida. Sementara itu, untuk mengetahui induksi magnetik di ujung solenoida dengan persamaan:
Induksi magnetik (B) hanya bergantung pada jumlah lilitan per satuan panjang (n), dan arus (I ). Medan tidak tergantung pada posisi di dalam solenoida, sehingga B seragam. Hal ini hanya berlaku untuk solenoida tak hingga, tetapi merupakan pendekatan yang baik untuk titik-titik yang sebenarnya tidak dekat ke ujung.
Terima kasih
Npm : 2013022048
Izin bertanya,
Bagaimana anda menghitung besarnya kuat Medan magnet disekitar kawat lurus panjang beraliran arus listrik?
Terima kasih
Re: RUANG DISKUSI DAN UPLOAD TUGAS
NPM : 2013022054
Izin menjawab,
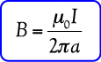
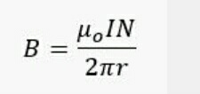
Besar medan magnet di sekitar kawat lurus berarus listrik dipengaruhi oleh besar arus lisrik dan jarak titik tinjauan terhadap kawat. Makin besar kuat arus yang diberikan dan makin dekat jaraknya terhadap kawat, makin besar kuat medan magnetnya . Cara menghitung besarnya kuat Medan magnet disekitar kawat lurus panjang :
B = μ0I/2πr
Untuk jumlah N lilitan:
B = μ0IN/2πr
Keterangan:
B: medan magnet (T)
I: kuat arus listrik (A)
r: jarak titik ke kawat (m)
μ0: permeabilitas ruang hampa
N: jumlah lilitan
Terima kasih
Re: RUANG DISKUSI DAN UPLOAD TUGAS
NPM : 2013022062
Izin menambahkan,
Medan magnet oleh kawat lurus adalah medan magnet yang dihasilkan dari aliran arus listrik yang melewati kawat lurus.

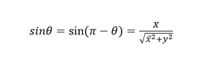
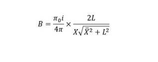
Arah medan magnet keluar dari bidang gambar ditentukan oleh arah (ds x r) dengan i sebagai arah arus yang mengalir. Setiap elemen panjang dL = dy dan

Induksi magnetik B di titik P dapat diperoleh dengan rumus berikut.

Jika kawat dianggap tak terhingga, persamaan yang digunakan adalah sebagai berikut.

NPM : 2013022008
Izin menjawab,
Re: RUANG DISKUSI DAN UPLOAD TUGAS
NPM: 2013022050
Izin menjawab,
Untuk menghiung besarnya induksi magnetik di suatu titik yang terletak disekita kawat penghantar lurus dan panjang yang beraliran arus sebesar I dapat diturunkan dari hukum Biot-Savart. MIsalkan ada seutas kawat lurus dengan panjang I dialiri arus listrik sebesar I sehingga timbul induksi magnetik disekitar kawat tersebut . Jika diambil elemen sepanjang dl pada kawat tersebut dan sebuah titik P yang berjarak r dari dl, sudut yang dibentuk oleh elemen dl dengan r adalah theta. Perhatikan gambar dibawah ini:


Re: RUANG DISKUSI DAN UPLOAD TUGAS
NPM: 2013022050
Izin menambahkan,
Secara sederhana, hukum ini menyakatakan hubungan antara arus listrik yang mengalir pada suatu lintasan dengan medan magnet yang muncul disekitar lintasan tersebut. Biot-Savart dalam eksperimennya, menyatakan bahwa besarnya kuat medan magnet di suatu titik yang dipengaruhi oleh kawat penghantar dan dialiri arus listrik adalah:
a. Berbanding lurus dengan kuat arus listrik,
b. Berbanding lurus dengan panjang kawat,
c. Berbanding lurus dengan kuadrat jarak antara titik ke kawat penghantar,
d. Berbanding lurus dengan sinus sudut apit antara arah arus dan garis hubung antara titik ke kawat penghantar.
Terima kasih.
NPM : 2013022014
Izin bertanya,
Bagaimanakah prinsip kerja dari efek hall dan apa yang menyebabkan timbulnya efek hall tersebut?
Terimakasih
Re: RUANG DISKUSI DAN UPLOAD TUGAS
Npm : 2013022048
Izin menjawab,
Prinsip Kerja Sensor Efek Hall (Sensor Hall Effect)
Ketika didekatkan dengan medan magnet atau ditempatkan pada lokasi yang bermedan magnet, garis fluks magnetik akan menggunakan gaya pada semikonduktor tersebut untuk mengalihkan muatan pembawa (elektron dan holes) ke kedua sisi pelat semikonduktor.
Terima kasih.
Re: RUANG DISKUSI DAN UPLOAD TUGAS
Npm : 2013022042
Izin menjawab
Dasar dari prinsip kerja Efek Hall ini adalah gaya Lorentz yaitu gaya yang ditimbulkan oleh muatan listrik yang bergerak dalam suatu medan magnet (B). Sensor Efek Hall dapat digunakan sebagai sakelar elektronik ini memiliki beberapa kelebihan, diantaranya adalah : Relatif lebih murah jika dibandingkan dengan sakelar mekanik dan lebih handal. Efek Hall timbul ketika aliran listrik dari pelat konduktor berbelok karena adanya pengaruh medan magnet. Saat arus listrik mengalir dari modul Hall diletakkan pada medan magnet yang arahnya tegak lurus dengan arus tersebut maka pergerakan pembawa elektronnya akan berbelok ke salah satu sisi sehingga menghasilkan medan listrik.
Terimakasih
Re: RUANG DISKUSI DAN UPLOAD TUGAS
NPM : 2013022012
Izin menjawab,
Prinsip kerja efek hall adalah dengan menggunakan prinsip gaya Lorentz. Gaya Lorentz cenderung menekan pembawa muatan ke arah saah satu sisi konduktor. Dalam hal ini akan terjadi pemisahan muatan dalam kawat yang diairi arus berada dalam medan magnetik luar, dimana pembawa muatan tersebut dipercepat ke salah satu arah kawat. Pemisahan pembawa muatan diantara ujung ujung konsuktor akan memberikan gaya elektrostatik yang sebanding dengan gaya Lorentz yang bekerja membawa muatan. Beda pembawa muatan yang mengumpul akan menghasilkan tegangan pada sisi tegak lurus arus maupun medan magnet. Tegangan tersebut disebut dengan tegangan Hall (efek Hall).
Terima kasih
Re: RUANG DISKUSI DAN UPLOAD TUGAS
Npm: 2013022050
Izin menjawab,
Gaya Lorentz merupakan prinsip utama bekerjanya efek hall. Hal ini dapat dibuktikan ketika kita membuat sebuah penghantar konduktor berbentuk pelat dan diberi medan magnet yang dialiri arus listrik, maka gaya lorentz akan muncul. Ketika itu bagian atas pelat konduktor seolah-olah akan berjajar muatan positif, sedangkan muatan negatif akan mengalami gaya Lorentz ke arah bawah, maka pada bagian bawah pelat konduktor seolah-olah akan berjajar muatan negatif (kutub negatif). Oleh karena itu akan timbul medan listrik dan beda potensial pada penghantar.
Terima kasih.
NPM : 2013022040
Izin menjawab,
Gaya Lorentz merupakan prinsip utama bekerjanya efek hall. Hal ini dapat dibuktikan ketika kita membuat sebuah penghantar konduktor berbentuk pelat dan diberi medan magnet yang dialiri arus listrik, maka gaya lorentz akan muncul. Ketika itu bagian atas pelat konduktor seolah-olah akan berjajar muatan positif, sedangkan muatan negatif akan mengalami gaya Lorentz ke arah bawah, maka pada bagian bawah pelat konduktor seolah-olah akan berjajar muatan negatif (kutub negatif). Oleh karena itu akan timbul medan listrik dan beda potensial pada penghantar.
Terima kasih
Npm : 2013022048
Izin bertanya,
Secara umum Dalam hubungan apa hukum Kirchhoff 1 paling sering digunakan untuk menyelesaikan masah apa dan bagaimana penyelesaian dari kasus tersebut?
Terima kasih.
Re: RUANG DISKUSI DAN UPLOAD TUGAS
Npm: 2013022050
Izin menjawab,
Hukum 1 Kirchoff atau biasa dikenal juga dengan Hukum Kirchoff tentang kuat arus mengatakan bahwa, “kuat arus yang masuk menuju suatu percabangan akan sama dengan kuat arus yang keluar dari cabang tersebut“. Hal ini dapat kita bayangkan sebagai sebuah aliran sungai yang terbagi 2. Apabila cabang dari sungai tersebut bertemu lagi sehingga kembali menyatu, maka air yang masuk sebelum percabangan akan sama jumlahnya dengan air yang keluar dari percabangan. Hukum ini cukup terbilang mudah untuk diselesaikan karena hanya melibatkan operasi aritmatika sederhana. Rumus dari Hukum 1 Kirchhoff yaitu I masuk = I keluar
Terima kasih.
NPM : 2013022026
Izin menjawab
Hukum Kirchhoff ini membahas tentang konduksi listrik. Hukum Kirchoff arus yang sangat penting dipelajari sebagai dasar untuk mempelajari rangkaian listrik, terutama rangkaian listrik tertutup. Hukum Kirchoff 1 dikenal sebagai hukum percabangan atau junction rule , hukum ini memenuhi kekekalan muatan. Hukum ini diperlukan untuk rangkaian yang multisimpal dan mengandung titik-titik percabangan ketika arus mulai terbagi. Pada keadaan keadaan, tidak ada akumulasi muatan listrik pada setiap titik dalam rangkaian. Dengan demikian, jumlah muatan yang masuk di setiap titik akan meninggalkan titik tersebut dengan jumlah yang sama.
Terimakasih
NPM : 2013022012
Izin bertanya,
Dalam hukum biot-savart terkenal percobaan dari Oersted yang menyatakan bahwa jarum kompas mengalami penyimpangan ketika diletakkan dekat dengan kawat yang dialiri arus listrik. Lalu penyimpangan seperti apa yang terjadi?
Terima kasih
Re: RUANG DISKUSI DAN UPLOAD TUGAS
Npm: 2013022050
Izin menjawab,
Magnet di dalam ruangan terjadi karena ada arus listrik disekitarnya. Arus listrik menyebabkan medan magnet disekitar kawat yang dialiri listrik. Apabila melalui penghantar itu dialirkan arus listrik, ruang di sekitar penghantar itu mengalami perubahan. Adanya perubahan itu hanya dapat diketahui secara tidak langsung, di antaranya dari menyimpangnya arah sebuah magnet jarum yang ada di ruangan itu, seperti pada percobaan Oersted.
Terima kasih.
Re: RUANG DISKUSI DAN UPLOAD TUGAS
Nama: Oktavia Sulistya Handayani
NPM: Oktavia Sulistya Handayani
Izin menjawab pertanyaan dari Umi,
Jadi, Penyimpangan magnet jarum kompas akan makin besar jika kuat arus listrik yang mengalir melalui kawat diperbesar. Arah penyimpangan jarum kompas bergantung arah arus listrik yang mengalir dalam kawat. Gejala itu terjadi jika kawat dialiri arus listrik. Jika kawat tidak dialiri arus listrik, medan magnet tidak terjadi sehingga magnet jarum kompas tidak bereaksi. Perubahan arah arus listrik ternyata juga mempengaruhi perubahan arah penyimpangan jarum kompas. Perubahan jarum kompas menunjukkan perubahan arah medan magnet.
1. Jika arah arus listrik mengalir sejajar dengan jarum kompas dari kutub selatan menuju kutub utara, kutub utara jarum kompas menyimpang berlawanan dengan arah putaran jarum jam.
2. Jika arah arus listrik mengalir sejajar dengan jarum kompas dari kutub utara menuju kutub selatan, kutub utara jarum kompas menyimpang searah dengan arah putaran jarum jam.
Terimakasih.
NPM : 2013022026
Izin bertanya
Bagaimana pendapat Kirchoff terkait arah aliran listrik pada beda potensial baterai dan apa yang menbedakan antara Hukum I kirchoff dengan Hukum II kirchoff?
Terimakasih
NPM: 2013022004
Izin menjawab,
● Pendapat kirchoff terkait arah aliran listrik pada beda potensial baterai adalah jumlah arus yang masuk melalui suatu titik percabangan akan sama dengan jumlah arus yang meninggalkan titik percabangan tersebut. jumlah arus yang masuk ke titik percabangan sama dengan nol.
● Perbedaan Hukum I dan II Kirchoff yaitu:
Hukum I Kirchhoff
Hukum ini merupakan hukum kekekalan muatan listrik yang menyatakan bahwa jumlah muatan listrik yang mengalir tidaklah berubah. Jadi, pada suatu percabangan, laju muatan listrik yang menuju titik cabang sama besarnya dengan laju muatan yang meninggalkan titik cabang itu.
Sedangkan hukum II Kirchoff
Hukum ini berlaku pada rangkaian yang tidak bercabang yang digunakan untuk menganalisis beda potensial (tegangan) pada suatu rangkaian tertutup. Hukum II Kirchhoff biasa disebut Hukum Tegangan Kirchhoff atau Kirchhoff’s Voltage Law (KVL). Bunyi Hukum II Kirchhoff adalah:
Jumlah aljabar beda potensial (tegangan) pada suatu rangkaian tertutup adalah sama dengan nol.
Terima kasih
NPM : 2013022046
Izin bertanya,
Apa yang mempengaruhi besarnya jumlah medan magnet yang menembus penghantar?
Terima kasih
NPM : 2013022022
Izin menjawab,
Jumlah atau banyaknya medan magnet yang menembus penghantar disebut dengan perubahan fluks magnetik. Bisa dikatakan pula bahwa timbulnya GGL dan arus induksi disebabkan oleh perubahan fluks magnetic pada penghantar. Faktor-faktor yang mempengaruhi besarnya GGL induksi elektromagnetik adalah Banyaknya jumlah lilitan.
Terimakasih
NPM : 2013022022
Izin bertanya,
Kemana arah medan magnet induksi disekitar kawat berarus listrik?
Terimakasih
NPM : 2013022046
Izin menjawab,
Arah medan magnet disekitar kawat lurus berarus listrik berarah melingkar dalam satu bidang datar disepanjang kawat. Arah Medan listrik dapat ditunjukkan dengan kaidah tangan kanan, yaitu ibu jari menunjukkan arah arus listriknya, sedangkan genggaman empat jari menunjukkan arah medan magnet.
Terima kasih
NPM: 2013022004
Izin menjawab,
Kawat lurus yang dialiri arus listrik akan menghasilkan medan magnet yang homogen untuk jarak yang sama dari kawat tersebut. Medan magnet yang dihasilkan membentuk lingkaran mengelilingi kawat dan arahnya ditentukan menggunakan kaidah tangan kanan. Ibu jari tangan kanan menyatakan arah arus listrik dan keempat jari lainnya yang menekuk menunjukkan arah medan magnet. Untuk lebih jelasnya simak gambar berikut:

Re: RUANG DISKUSI DAN UPLOAD TUGAS
NPM : 2013022032
Izin menjawab,
Pada dasarnya sebuah kawat lurus berarus listrik yang kemudian dibuat melingkar mempunyai prinsip yang sama. Medan magnet akan melingkar-lingkar disekeliling kawat tersebut . Dengan kata lain medan magnet di sekitar kawat melingkar berarus listrik mempunyai konsep yang sama dengan medan magnet di sekitar kawat lurus berarus listrik.
Arah Medan listrik dapat ditunjukkan dengan kaidah tangan kanan, yaitu ibu jari menunjukkan arah medan magnet, sedangkan gemggaman empat jari menunjukkan arah arus listriknya.
Terima kasih
NPM : 2013022038
Izin menjawab,
Arah Medan listrik dapat ditunjukkan dengan kaidah tangan kanan, yaitu ibu jari menunjukkan arah arus listriknya, sedangkan genggaman empat jari menunjukkan arah medan magnet.

Arah ibu jari = arah arus listrik ( I )
Arah keempat jari = arah medan magnetik ( B)
Terimakasih
NPM : 2013022040
Izin menjawab,
Arah medan magnet disekitar kawat lurus berarus listrik berarah melingkar dalam satu bidang datar disepanjang kawat. Arah Medan listrik dapat ditunjukkan dengan kaidah tangan kanan, yaitu ibu jari menunjukkan arah arus listriknya, sedangkan genggaman empat jari menunjukkan arah medan magnet.
Terima kasih
NPM : 2013022030
Izin bertanya,
Bagaimana hubungan Gaya Lorentz/Gaya Magnet dengan kuat arus listrik?
Terima Kasih
NPM : 2013022038
Izin menjawab,
Hubungan antara kuat arus dan gaya lorentz adalah sebanding sehingga jika arus diperbesar maka gaya lorentz juga semakin besar. Ketika dua kawat di susun sejajar dengan panjang yang sama yaitu l dialiri arus listrik sebesar I dan magnet homogen sebesar B, maka akan menimbulkan gaya Lorentz.
Terimakasih
NPM : 2013022058
Izin bertanya,
Bagaimana arah kuat medan magnet yang ditimbulkan dari toroida yang dialiri arus listrik?
Terimakasih
NPM : 2013022036
Izin menjawab, toroida adalah sebuah solenoid yang dilengkungkan sehingga membentuk sebuah lingkaran. Medan magnet yang ditimbulkan oleh toroida yang dialiri arus listrik mempunyai arah melingkar.
Terimakasih
Npm: 2013022050
Izin menambahkan,
Faktor yang mempengaruhi kuat medan magnetik dalam Toroida dipengaruhi oleh beberapa faktor yaitu jumlah lilitan, kuat arus, jejari efektif toroida, dan bahan yang disisipkan kedalam toroida.
Terima kasih.
NPM : 2013022062
Izin menjawab,
Medan Magnet yang ditimbulkan oleh Toroida adalah solenoida yang melingkar. Karena medan magnet di dalam kawat toroida mempunyai arah yang sama. Aliran arus melalui keliling toroida menghasilkan medan magnetik yang tegak lurus bidang gambar.
Karena jika arus searah jarum jam maka medan magnet masuk bidang kertas. Jika arus berlawanan arah jarum jam, maka medan magnet keluar bidang kertas.
Terima kasih
NPM : 2013022002
Iizin menjawab,
arah kuat medan magnet yang ditimbulkan dari toroida yang dialiri arus listrik yaitu arah melingkar. Toroida mempunyai kesamaan dengan solenoida. Sebuah kawat dipintal menjadi sebuah kumparan, hanya saja kumparan tersebut tidak berada dalam keadaan lurus tetapi dibuat melingkar menyerupai sebuah donat yang dililiti kawat.
Rumus mencari kuat medan magnet pada toroida yaitu,
B_pusat: μ_0 ((N.i)/(2 π r_ef ))
terima kasih
Npm : 2013022010
Izin menjawab,
Pada toroida terdapat beberapa faktor yang dapat mempengaruhi kuat medan magnetik didalamnya yaitu jumlah lilitan, kuat arus, jejari efektif toroida, dan bahan yang disisipkan kedalam toroida.
Sehingga arah kuat medan magnet yang ditimbulkan dari toroida yang dialiri arus listrik yaitu arah melingkar.
Toroida sendiri sebenrnya memiliki kesamaan dengan solenoida, dimana sebuah kawat dipintal menjadi sebuah kumparan, hanya saja kumparan tersebut tidak berada dalam keadaan lurus tetapi dibuat melingkar menyerupai sebuah donat yang dililiti kawat.
Terima kasih
NPM : 2013022018
izin menjawab, arah medan magnet pada toroida adalah melingkar sesuai dengan gambar berikut. Kuat medan magnet disimbolkan dengan B dan arahnya ditunjukkan uleh mata panah.


NPM : 2013022026
Izin menjawab
Medan magnet yang ditimbulkan oleh solenoida akan lebih besar daripada yang ditimbulkan oleh sebuah penghantar melingkar, apalagi oleh sebuah penghantar lurus. Medan magnet yang dihasilkan solenoida berarus listrik bergantung pada besar kuat arus listrik dan banyaknya kumparan.
Terimakasih
NPM ; 2013022048
Izin Menjawab,
arah kuat medan magnet yang ditimbulkan dari toroida yang dialiri arus listrik adalah Melingkar karna, Toroida adalah solenoida yang berbentuk lingkaran. Medan magnet yang ditimbulkan toroida mempunyai arah melingkar.
NPM : 2013022032
Izin menjawab,
Toroida adalah solenoida yang berbentuk lingkaran. Medan magnet yang ditimbulkan toroida mempunyai arah melingkar.
Terima kasih
NPM : 2013022038
Izin menjawab,
Faktor yang mempengaruhi kuat medan magnetik dalam Toroida dipengaruhi oleh beberapa faktor yaitu jumlah lilitan, kuat arus, jejari efektif toroida, dan bahan yang disisipkan kedalam toroida.


Jari-jari satu adalah jari-jari lingkaran dalam dan jari-jari dua adalah jari-jari lingkaran luar (m), N menunjukkan jumlah lilitan, dan i menunjukkan arus listrik (A).
Terimakasih
Re: RUANG DISKUSI DAN UPLOAD TUGAS
Npm: 2013022050
Izin bertanya,
Bagaimana cara menganalogikan rumus hukum Kirchhoff 1?
Terima kasih.
Re: RUANG DISKUSI DAN UPLOAD TUGAS
NPM : 2013022002
izin menjawab,
hukum pertama kirchhoff biasa disebut hukum simpal, karena pada kenyataannya beda potensial dinatara dua titik dalam satu rangkaian pada keadaan tunak selalu konstan. hukum ini didasarkan pada kekekalan energi.
Bunyi Hukum Kirchhoff yang pertama adalah: Total (bersimbol Sigma) arus yang masuk (in) sama dengan total arus keluar (out). Yakni, nilai arus yang masuk ke suatu persimpangan (junction) harus sesuai dengan nilai arus yang keluar darinya. Dari bunyi tersebut, maka rumus Hukum Kirchhoff 1 adalah ∑ Imasuk = ∑ Ιkeluar.
bunyi Hukum Kirchoff 1 yakni, arus total yang masuk melalui suatu titik percabangan dalam suatu rangkaian listrik sama dengan arus total yang keluar dari titik percabangan tersebut. sehingga rumus tersebut bisa kita analogikan dengan kalimat Apa yang kita perbuat sama dengan apa yang kita terima, semua tergantung kepada diri kita masing-masing. Jika melakukan kebaikan akan mendapatkan kemudahan, dan jika melakukan keburukan akan mendapatkan kesulitan.
terima kasih
Re: RUANG DISKUSI DAN UPLOAD TUGAS
NPM : 2013022054
Izin menjawab,
Hukum 1 Kirchoff atau biasa dikenal juga dengan Hukum Kirchoff tentang kuat arus mengatakan bahwa “Kuat arus yang masuk menuju suatu percabangan akan sama dengan kuat arus yang keluar dari cabang tersebut“. Cara menganalogikannya dapat kita bayangkan sebagai sebuah aliran sungai yang terbagi 2. Apabila cabang dari sungai tersebut bertemu lagi sehingga kembali menyatu, maka air yang masuk sebelum percabangan akan sama jumlahnya dengan air yang keluar dari percabangan (Imasuk = Ikeluar). Imasuk ialah kuat arus yang masuk menuju suatu percabangan, sedangkan Ikeluar ialah kuat arus yang keluar dari percabangan.
Terima kasih
Re: RUANG DISKUSI DAN UPLOAD TUGAS
NPM : 2013022008
Izin menjawab,
Hukum Kirchoff 1 berbunyi: "arus total yang masuk melalui suatu titik percabangan dalam suatu rangkaian listrik sama dengan arus total yang keluar dari titik percabangan tersebut".
Kita bisa menganalogikan persamaan I hukum Kirchhoff ini dengan dua buah komponen arus yang bertemu di satu titik simpul dan menjadi satu.
Terima kasih
Re: RUANG DISKUSI DAN UPLOAD TUGAS
NPM : 2013022018
Izin menjawab,
Hukum Kirchoff 1 dikenal sebagai hukum percabangan atau junction rule, hukum ini memenuhi kekekalan muatan. Hukum ini diperlukan untuk rangkaian yang multisimpal dan mengandung titik-titik percabangan ketika arus mulai terbagi. Pada keadaan konstan, tidak ada akumulasi muatan listrik pada setiap titik dalam rangkaian. Dengan demikian, jumlah muatan yang masuk di dalam setiap titik akan meninggalkan titik tersebut dengan jumlah yang sama.
Bunyi Hukum Kirchhoff 1 adalah:
“Besar arus listrik yang mengalir memasuki suatu titik ke suatu persimpangan atau simpul sama dengan besar arus listrik yang keluar dari titik tersebut.”
Sebagai analogi gampangnya. Misal ada 100 orang yang naik kereta, maka saat berhenti pun bakal ada 100 orang yang turun dari kereta itu juga. Tentu aja, dengan asumsi kereta ini sekali jalan dan gak ada transit di mana-mana dulu. Hal yang sama berlaku untuk arus pada rangkaian tertutup menurut Hukum Kirchhoff. Terimakasih
Re: RUANG DISKUSI DAN UPLOAD TUGAS
Npm: 2013022056
Izin menambahkan,
Secara sederhana kita bisa menganalogikan rumus hukum Kirchhoff 1 dengan cara yaitu mengingat bahwa hukum ini berisi
"Jumlah aljabar semua arus pada titik percabangan sama dengan nol."
Terimakasih
NPM : 2013022038
Izin bertanya,
Bagaimana cara menentukan arah induksi magnetik pada kawat lurus berarus?
Terimakasih
NPM : 2013022030
Izin menjawab,
Arah medan magnet di sekitar kawat berarus ditentukan dengan aturan atau kaidah tangan kanan, yaitu arah ibu jari dimisalkan menyatakan arah aliran arus listrik (I), sedangkan arah lipatan jari-jari yang lainnya menyatakan arah medan magnet (B).


