Diskusi MNA Order Tinggi

forum diskusi

forum diskusi

by Dr. Caswita, M.Si. -
Number of replies: 9

Setiap kelompok mendiskusikan soal kemudian diskusikan dalam forum diskusi, jam 11.00 kita gmeet

In reply to Dr. Caswita, M.Si.

Re: forum diskusi

by Resta Meldatia_1913021002 -
Kelompok 2 :
1. Resta Meldatia (1913021002)
2. Alya Narulita (1913021006)
3. Miati Avandy Putri (1913021012)
4. Ulfa Annisa (1913021022)
5. Sari Dewi (1913021046)
Attachment WhatsApp Image 2022-04-18 at 10.01.56.jpeg
In reply to Resta Meldatia_1913021002

Re: forum diskusi

by Alya Narulita_1913021006 -
Mohon maaf pak sebelumnya kelompok kami masih bingung dengan penyelesaian soal nomor 7 itu bagaimana ya pak?

sehingga kami hanya sampai disini untuk diskusi penyelesaiannya. 

Attachment CamScanner 04-18-2022 11.11.jpg (1)
In reply to Resta Meldatia_1913021002

Re: forum diskusi

by Resta Meldatia_1913021002 -
Mohon maaf Pak izin bertanya untuk penyelesaian soal nomor 8, kelompok kami belum menemukan solusi akhir. Apakah penyelesaian yang kami gunakan kurang tepat pak?
Berikut ini hasil diskusi kelompok kami
Attachment CamScanner 04-18-2022 11.16_2.jpg
Attachment CamScanner 04-18-2022 11.16_3.jpg
In reply to Dr. Caswita, M.Si.

Re: forum diskusi

by Hana Almira_1913021052 -

Erin Ramantia             (1913021004)

Siti Ardianti                (1913021018)

Sri Wulandari             (1913021034)

Junairiah Rahayu        (1913021038)

Hana Almira               (1913021052)



In reply to Hana Almira_1913021052

Re: forum diskusi

by Resta Meldatia_1913021002 -
Nama : Resta Meldatia
NPM : 1913021002
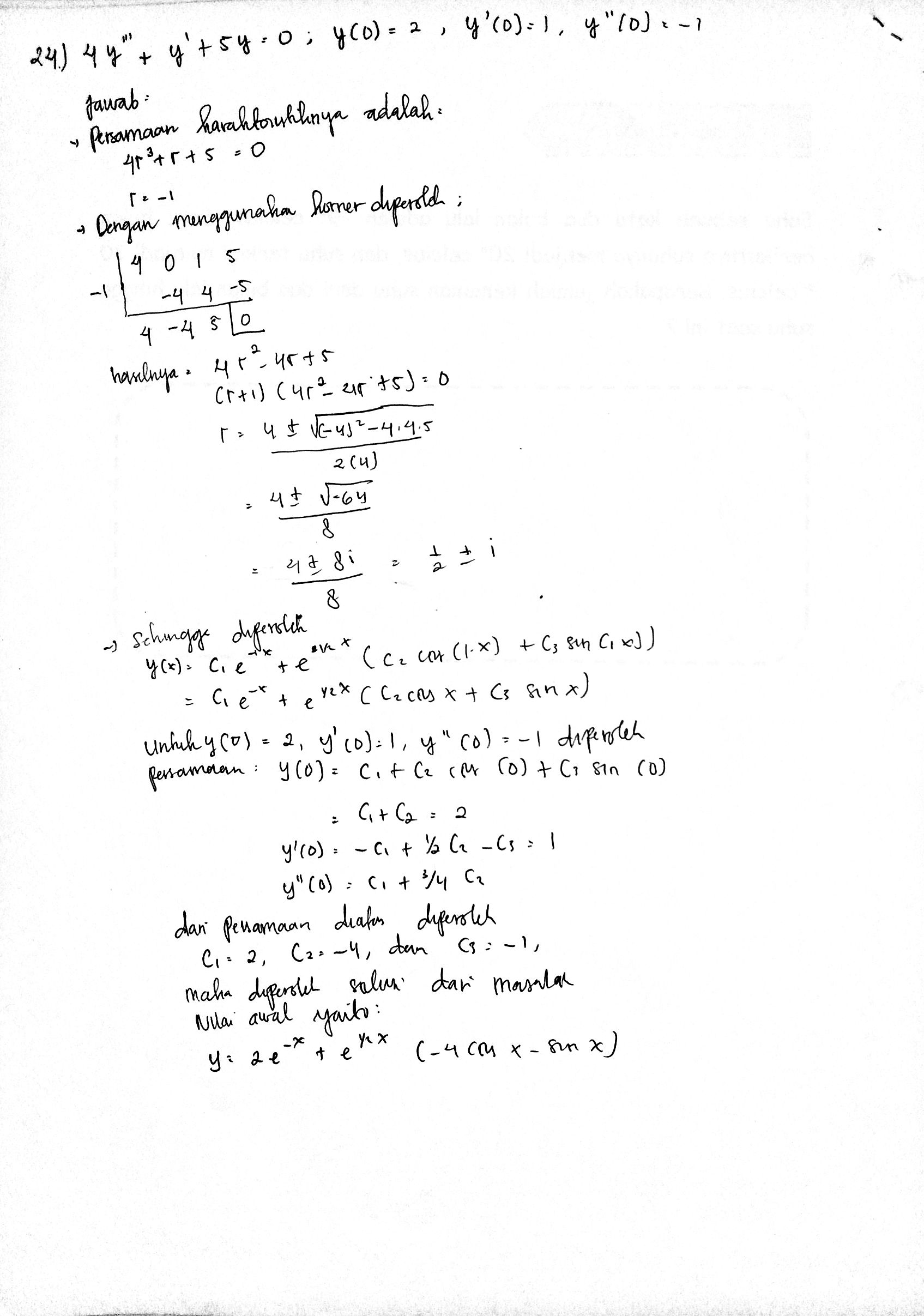
Izin menanggapi, menurut saya terdapat kesalahan nilai awal
seharusnya untuk y(0)= 2 , y'(0)= 1 dan y''(0)= -1
In reply to Dr. Caswita, M.Si.

Re: forum diskusi

by Lusia Rahmawati Dewi_1913021010 -
24Kelompok 4
1. Lusia Rahmawati Dewi_ 1913021010
2. Nabela Hairunisa_1913021020
3. Shella Oktaviani_1913021024
4. Dandi Rizka Utami_1913021026
5. Febri_1913021030