RUANG DISKUSI
Silahkan Bapak dan Ibu masuk ke ruang Diskusi.
Izin bertanya bapak Untuk rangkaian RLC pada arus DC arus tidak mengalir ya pak
ya untuk XL (hambatan induktor) diperlukan sumber arus yang berubah-ubah, agar terjadi perubahan fluks..
XC nya tak hingga ya pak, saya pernah dapat soal rangkaian RLC pada arus DC, saya hitung impedansinya (Z), saya hitung i = v/Z, padahal i nya nol ya pak
Baik bapak dan teman-teman izin memulai diskusi..
Saya belum seberapa paham mengenai sumber tegangan AC dan DC ini.
karena sepahaman saya perbedaan sumber tegangan AC dan DC ini hanya terlihat dari pergerakan arah eletronnya saja, Jika di DC arahnya adalah memutar atau mengalir terus sedangkan kalau AC arahnya bulak balik mangkanya arus AC dapat menyebabkan sentrum.
Apakah itu benar ya teman-teman?
Saya belum seberapa paham mengenai sumber tegangan AC dan DC ini.
karena sepahaman saya perbedaan sumber tegangan AC dan DC ini hanya terlihat dari pergerakan arah eletronnya saja, Jika di DC arahnya adalah memutar atau mengalir terus sedangkan kalau AC arahnya bulak balik mangkanya arus AC dapat menyebabkan sentrum.
Apakah itu benar ya teman-teman?
Pertanyaan saya juga hampir sama dengan Dheo. Ijin bertanya Bapak dan rekan-rekan, mungkin pertanyaan saya sangat sederhana, basic saya Biologi. Pertanyaan saya adalah bagaimana melihat perbedaan listrik AC dan DC pada penerapan listrik di sekitar kita? Misalnya pada penggunaan listrik di rumah
Benar apa yang dikatakan oleh mbak fatynia, saya juga basicnya biologi dan masih belum mengerti cara membedakan rangkaian listrik AC dan DC. Apakah perbedaan yang mendasar dari kedua nya?
izin mencoba menjawab pertanyaan mba fatin, untuk membedakan arus AC dan DC di sekitar kita, saya bisa berikan contohnya seperti arus listrik yang biasa dipakai di rumahrumah itu biasa menggunakan arus AC, dapat kita perhatikan pada steker atau colokan listrik dirumah yang apabila kita ingin menghidupkan barang elektronik tertentu dapat kita pasang secara bolak balik, namun hal tersebut tidak berlaku pada arus DC di mana arus DC hanya mengalir dengan satu arah saja tidak bisa bolak balik. contohnya seperti pada lampu LED
kalau arus DC itu ada kutub positif dan kutub negatifnya
apakah arus DC hanya terdapat pada steker atau colokan listri dirumah atau ada contoh lainnya mba?
mohon maaf mba, mungkin maksud mba itu arus AC ya mba?
Izin berdiskusi
Penggunaan arus searah (DC) dalam kehidupan sehari-hari misalnya pada penggunaan tv, radio, baterai, panel surya, dan komputer.
Penggunaan arus searah (DC) dalam kehidupan sehari-hari misalnya pada penggunaan tv, radio, baterai, panel surya, dan komputer.
Yaa saya juga sependapat dengan mbak nanda. Berdasarkan literatur, jadi saat kita mengisi ulang baterai laptop dengan listrik PLN (AC) maka adaptor didalam laptopakan merubah listrik AC menjadi DC.
Sumber arus DC itu baterai, aki, kalau sumber arus AC ya generator, PLN
penggunaan arus AC pada penerapannya digunakan pada peralatan elektronik seperti kipas angin, kulkas, kompor, listrik, teko listrik, TV, setrika. sedangkan arus DC pada penerapannya digunakan pada penggunaan radio, baterai, panel surya, dan komputer.
saya juga memiliki pertanyaan, apakah ada kelebihan dan kekurangan dari masing-masing sumber arus AC dan DC ini? sehingga mungkin nanti dalam penggunaannya bisa diminimalkan kekurangannya seperti itu
Izin berdiskusi
Kelebihan arus AC adalah dapat dirubah jumlah skala tegangannya, baik itu dinaikkan ataupun diturunkan. Sedangkan kekurangan arus AC tidak dapat dibawa, hal ini karena arus AC tidak bisa ditempatkan pada suatu wadah seperti baterai dan lainnya.
Kelebihan arus AC adalah dapat dirubah jumlah skala tegangannya, baik itu dinaikkan ataupun diturunkan. Sedangkan kekurangan arus AC tidak dapat dibawa, hal ini karena arus AC tidak bisa ditempatkan pada suatu wadah seperti baterai dan lainnya.
Kelebihan DC adalah dapat diisi ulang sedangkan kekurangannya daya nya rendah.
Kelebihan arus AC adalah arus Listrik AC biasanya digunakan untuk menyalurkan listrik menuju tempat yang jauh dikarenakan arus AC memiliki kerugian yang lebih kecil dibandingkan arus DC. Listrik disalurkan menggunakan voltage yang tinggi yang sudah “di-step up” dari trafo sehingga menjadi pilihan yang tepat untuk menyalurkan listrik menuju ketempat yang jauh.
Kekurangan arus AC:
Tidak dapat disimpan :arus AC tidak dapat disimpan dalam waktu yang lama.
Tidak dapat dipindahkan : arus AC juga tidak dapat dipindahkan untuk keperluan yang tiba-tiba. Berbeda dengan arus DC yang bisa kita dapatkan atau kita pindahkan dalam bentuk aki dan baterai.
Kekurangan arus AC:
Tidak dapat disimpan :arus AC tidak dapat disimpan dalam waktu yang lama.
Tidak dapat dipindahkan : arus AC juga tidak dapat dipindahkan untuk keperluan yang tiba-tiba. Berbeda dengan arus DC yang bisa kita dapatkan atau kita pindahkan dalam bentuk aki dan baterai.
izin menjawab pertamyaan mba fatin bahwa arus ac adalah arus yang arahnya membalik dengan arus f. Adapun dalam kehiduapn sehari hari arus dc dapat digunakan di alat alat rmah tangga, perkantoran, penerangan jalan raya dan taman
arus dc suatu beda potensial pada dua titik dalam satu rangkaian contohnya pada accumulator dan sel surya
arus dc suatu beda potensial pada dua titik dalam satu rangkaian contohnya pada accumulator dan sel surya
Arus yang membalik dengan arus f, maksudnya bagaimana ya mbak tiara? mohon penjelasannya
maksudnya arus bolak balik atau alternatif current (ac) merupakan arus listrik yang arahnya membalik dengan frekuensi (f)
Maaf mbak, frekuensi yg dimaksud ini frekuensi apa ya? apakah frekuensi arus yg bolak balik?
Izin menjawab mbak Fatyn, mohon diluruskan apabila kurang tepat. Mungkin maksud mbak Tiara mengatakan arus ac adalah arus yang arahnya membalik dengan arus f, yaitu arus bolak balik arahnya selalu berubah secara periodik terhadap waktu. Nilai arus dan tegangan bolak balik selalu berubah-ubah menurut waktu.
apakah TV, radio menggunakan sumber arus AC?
Sepertinya iya pak, karena barang-barang elektronik tersbut membutuhkan tegangan listrik yang besar
Saya memperoleh informasi seperti ini pak Dheo. Televisi merupakan alat elektronika yang menggunakan tegangan DC, dari kabel power nya memang AC namum pada PCB televisi terdapat satu blok yang mengubah arus AC menjadi DC. Tetapi saya belum memahami maksudnya seperti apa
iya mbak delis arus nya arus AC masuk ke perangkat elektronik nanti dirubah menjadi DC, pakai adaptor atau konverter istilahnya pengubah tegangan AC menjadi DC. semua perangkat elektronik bekerja dengan arus DC
Izin menjawab pak, Tv dan radio menggunakan arus DC
Saya pernah membaca jyga bahwa tidak semua rangkaian listrik di rumah adalah arus AC, ada juga penerapan arus DC pada listrik rumah
izin menjawab pertanyaan pak, adapun tv dan radio menggunakan arus Listrik DC (direct current) biasanya digunakan oleh perangkat lektronika. Beberapa beban elektronika yang menggunakan arus listrik DC diantaranya: Lampu LED (Light Emiting Diode), Komputer, Laptop, TV, Radio, dan masih banyak lagi. Selain itu listrik DC juga sering disimpan dalam suatu baterai, contohnya saja baterai yang digunakan untuk menghidupkan jam dinding, mainan mobil-mobilan dan masih banyak lagi. Intinya kebanyakan perangkat yang menggunakan listrik DC merupakan beban perangkat elektronika.
Berdasarkan literatur DC pak
Izin berdiskusi
Pada listrik DC arusnya searah dan biasanya nilainya tidak berubah-ubah (frekuensinya nol). Sementara pada listrik AC, arusnya bolak-balik, kecepatan bolak-baliknya bergantung pada frekuensinya. Sumber arus DC berasal dari proses kimiawi antara lain baterai (elemen Volta) dan akumulator (aki). Sedangkan sumber arus AC yang paling umum adalah berasal dari induksi elektromagnetik yaitu dari generator AC yang dioperasikan oleh Perusahaan Listrik Negara (PLN) ataupun dari generator portabel (genset AC).
Pada listrik DC arusnya searah dan biasanya nilainya tidak berubah-ubah (frekuensinya nol). Sementara pada listrik AC, arusnya bolak-balik, kecepatan bolak-baliknya bergantung pada frekuensinya. Sumber arus DC berasal dari proses kimiawi antara lain baterai (elemen Volta) dan akumulator (aki). Sedangkan sumber arus AC yang paling umum adalah berasal dari induksi elektromagnetik yaitu dari generator AC yang dioperasikan oleh Perusahaan Listrik Negara (PLN) ataupun dari generator portabel (genset AC).
Iyaaa saya juga membaca di beberapa literatur seperti yang disampaikan oleh mbak Nanda. Bahwa listrik AC biasanya dioperasikan oleh Perusahaan Listrik Negara (PLN). Sementara listrik DC (direct current) biasanya digunakan oleh perangkat elektronika seeprti Lampu LED (Light Emiting Diode), Komputer, Laptop, TV, Radio dll.
iya saya sependapat dengan mbak meli, sumber DC yang paling sering kita temukan antara lain Baterai dan aki. sedangkan sumber AC yang paling umum yaitu dari sumber PLN
Saya sependapat mba. listrik DC ini nilainya tidak berubah ubah karena ferkuensinya = 0. sedangkan listrik AC ini kecepatan arusnya tergantung pada frekuensi
Jadi pada intinya arus DC itu sering digunakan pada lat-alat elektronik ya mbak dikehidupan sehari-hari?
Selama penyaluran berlangsung, arus yang digunakan adalah AC. Sedangkan, selama penggunaan, kita menggunakan DC. Benar begini bukan ya prinsipnya?
Iyaa mba Fatyn sepertinya begitu. Misalnya ketika kita mengisi daya labtop kita ke sumber listrik maka arus yang mengalir adalah AC, tetapi ketika kita menggunakan labtop tersebut maka menggunakan DC.
Terimakasih mbak meli atas penjelasannya, saya jadi lebih sedikit memahami
Sepertinya pehamahan saya juga bergitu mba, listrik yang mengalir di rumah kita adalah arus AC sedangkan alat-alat elektronik yang kita gunakan arusnya DC
Kemudian saya juga mendapat informasi lebih mudah mengubah arus AC ke DC dibandingkan arus DC ke AC.
Ya, benar mbak delis, menurut referensi yang saya baca, untuk mengubah AC ke DC sangat mudah. Misalnya untuk memindahkan arus AC di motor, tinggal memindahkan arus AC, yang tadinya ke lampu utama, dialihkan sepenuhnya jadi arus pengisian ke aki.
yang saya ketahui seperti itu mba, karena pada dasarnya rangkaian elektronik menggunakan beberapa susunan komponen-komponen kecil yang membutuhkan suplly listrik yang stabil dan halus. Arus DC adalah arus listrik yang mengaliri sebuah hantaran dengan tegangan nya yang berpotential tetap atau tidak berubah-ubah
Iyaa mbaa eva, pada saat penggunaannyaa
izin menjawab pak dheo, arus DC (Direct Current) itu arus searah ada kutub positif dan kutub negatif, jadi jelas arus mengalirnya searah. dari kutub positif ke kutub negatif
maksudnya bolak-balik bagaimana Mas Dheo? maksudnya pergi dan datang lagi, seperti PP begitu? he he he,
maksudnya itu, arah eletronnya terus berpindah arah terkadang maju dan terkadang mundur pak.
Benar tidak ya pak?
Benar tidak ya pak?
izin menjawab, mohon diluruskan apabila ada yag kurang tepat.
Sebagian orang beranggapan bahwa arus AC nyetrum, sedangkan DC tidak. Hal ini karena arus DC yang biasanya orang pegang adalah yang memiliki voltase rendah. Jika yang dipegang mencapai ratusan bahkan ribuan volt, maka bahaya kesetrum bisa lebih kuat.
Pada arus AC bisa nyetrum karena jalur fasa terpegang oleh kita sementara kita menyentuh ground. Maka arus Ac akan mengalir di tubuh kita.
Sebagian orang beranggapan bahwa arus AC nyetrum, sedangkan DC tidak. Hal ini karena arus DC yang biasanya orang pegang adalah yang memiliki voltase rendah. Jika yang dipegang mencapai ratusan bahkan ribuan volt, maka bahaya kesetrum bisa lebih kuat.
Pada arus AC bisa nyetrum karena jalur fasa terpegang oleh kita sementara kita menyentuh ground. Maka arus Ac akan mengalir di tubuh kita.
Maaf mbak, bisa di paparkan lagi maksud dri ini "jalur fasa terpegang oleh kita sementara kita menyentuh ground" bagaimana?
jalur fasa itu jalur penghantar listriknya mba, bisa dibilang fasa itu adalah kabel penghantar listriknya, maka jika pada arus AC itu kita tidak sengaja menyentuk steker atau colokan listriknya maka kita akan tersetrm karena arus AC nya akan mengalir ke tubuh kita. mohon koreksinya bila keliru dalam penjelasannya
iya benar mbak elsa, fasa itu maksudnya kabel aliran listrik yang bertegangan.
Jalur fasa itu sepertinya nama yang digunakan untuk kabel aliran listrik bertegangan mbak. Mohon dikoreksi.
Saya sependapat dengan mbak Tri, arus DC nyetrum sedangkan DC tidak karena pada umumnya arus DC memiliki range tegangan yang lebih rendah dibandingkan Arus AC sesuai Hukum Ohm, tegangan berbanding lurus dengan Arus yg mengalir. Semakin besar tegangannya, arus yang mengalir pada beban akan semakin besar, dan akan semakin berbahaya.
Mohon diluruskan apabila kurang tepat.
Mohon diluruskan apabila kurang tepat.
Jadi kalau kita terkena arus dari Baterai (contoh arus DC) tidak nyetrum ya mbak? Menurut saya tetap nyetrum juga mbak, tergantung tegangan yang terdapat pada arus tersebut.
Iyaa tergantung dengan tegangannya mbak Fatyn karena tegangan berbanding lurus dengan arus. Mohon ditambahkan atau dikoreksi teman-teman.
saat arus kecil maka tegangan juga menjadi keccil ya mba? Jadi sebenarnya memiliki potensi untuk menyetrum tapi tidak terasa di kulit kita karena arus dan tegangannya kecil ya?
sebenarnya arus DC tetap nyetrum mbak, namun karena tegangan baterai yang biasa kita pakai itu kecil, jadi arus yang mengalir juga kecil, sehingga tidak dirasakan oleh manusia.
Izin menjawab pertanyaan nomor 1 pada bahan diskusi bapak dan teman-teman. mohon koreksinya apabila terdapat kekeliruan. Terima kasih.

Untuk soal pada bahan diskusi No 3, apakah seperti ini jawabannya?
arus yang mengalir 25 A ? kenapa tidak 30 A atau 40 A, apa yang menyebabkan demikian, jika seandainya Embak Elsa hanya pasang daya 900 watt, apa arus yang mengalir pada pemanas itu 25 A ? memang ada arus di dalam rumah tangga sampai 25 A?
menurut saya tidak ada pak karena arus 25 A itu sudah besar sekali, namun untuk penyebab mengapa arus tersebut dapat mengali rdengan nilai sebegitu besarnya saya belum menemukan jawabannya
Saya mendapat informasi bahwa umumnya PLN hanya menyediakan beberapa pilihan standar Daya Listrik yaitu 220VA (1A), 450VA (2A), 900VA (4A), 1300VA (6A), 2200VA (10A), 3500VA (16A), 4400VA (20A), 5500VA (25A) dan seterusnya. Pengajuan permintaan Daya Listrik yang dianjurkan ke PLN adalah 3500VA atau 16A saja.
Sepertinya arus yang mengalir apabila tegangan 220 volt dengan daya 900 watt adalah 4 ,1 A. Apakah seperti ini pak?
Iya benar mba meli, sesuai dengan standar daya listrik PLN 900VA atau 900 watt itu arus listriknya 4A
Izin menjawab pak, mohon diluruskana apabila ada kekeliruan. Menurut saya tidak perlu mengalirkan arus sebesar itu apabila hanya menggunakan daya 900 watt dengan tegangan 220 volt.
Waktu yang diperlukan sekitar 300 detik atau 0.083 jam
Izin menjawab pertanyaan pada pemecahan masalah.

Izin berdiskusi mengenai soal di forum pemecahan kasus

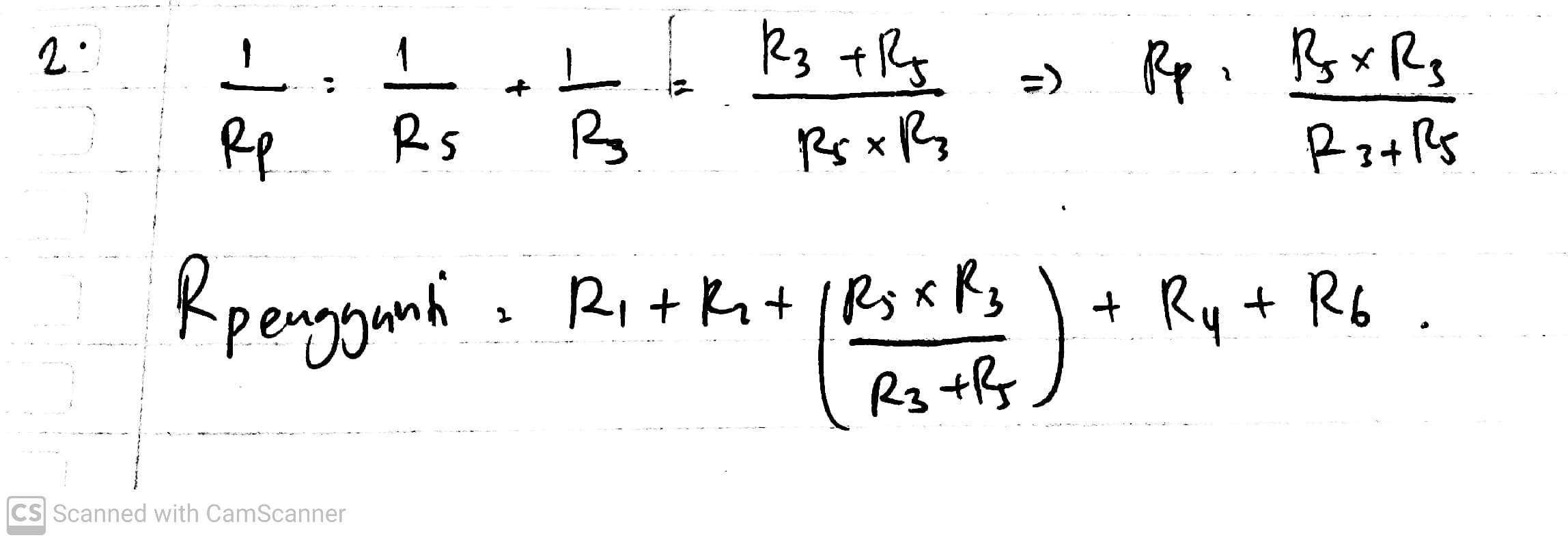
Izin menjawa pertanyaan pada pemecahan masalah no. 2

Apakah seperti ini pak?

