SILAHKAN DISKUSI DI RUANG INI
SELESAIKAN KASUS BERIKUT :
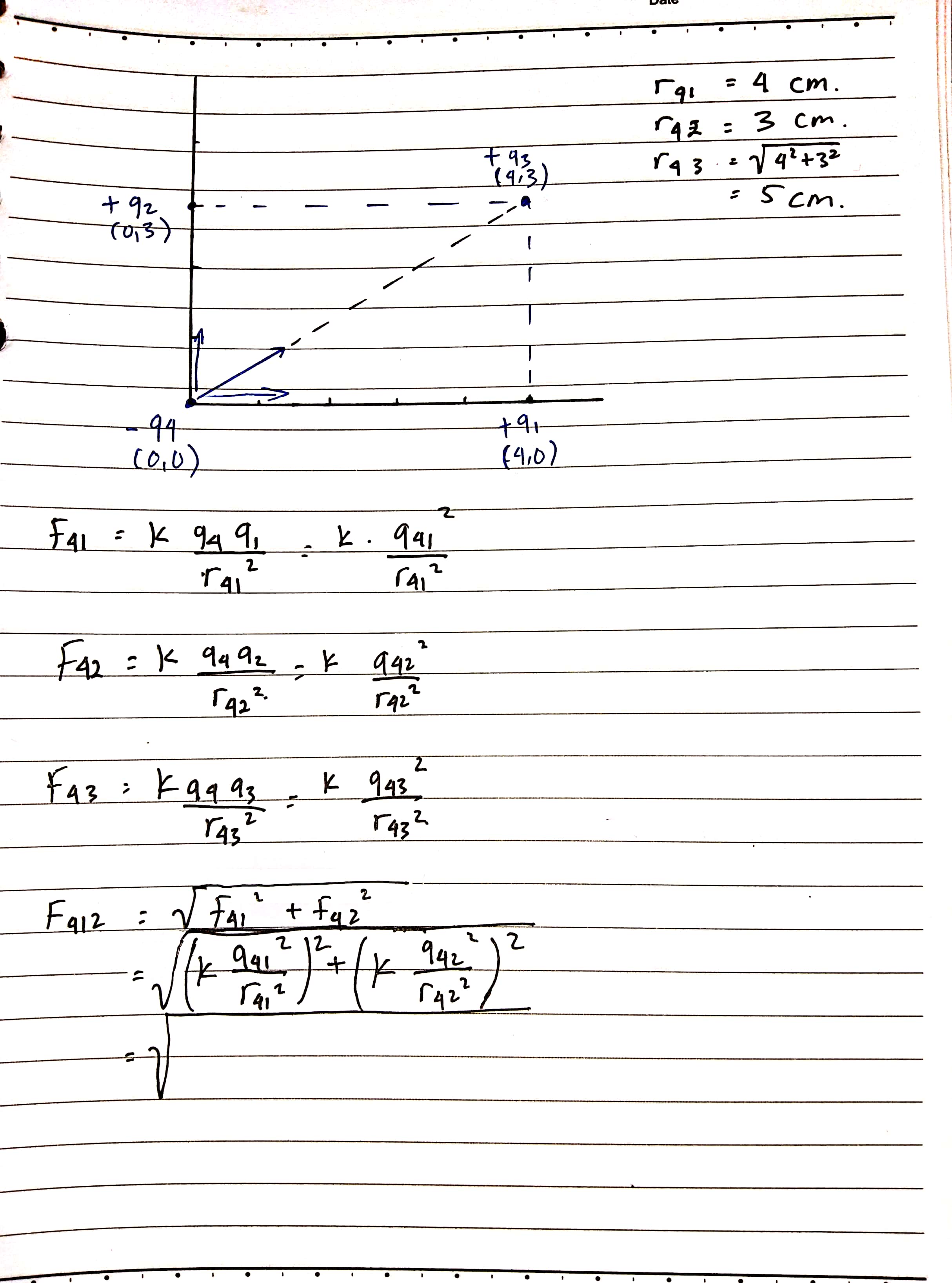
1. Ada empat muatan tersebar masing-masing berada +q1 (4,0), +q2(0,3), +q3(4,3), dan -q4(0,0). hitung
a) gaya listrik yang dialami oleh muatan q4
b) medan listrik pada q4
c) potensial listrik pada q4
d) usaha untuk memindahkan semua muatan tersebut dari jauh tak hingga.
2. Coba analisis dimana perbedaan antara muatan diskrit dan kontinue.
Tulis jawaban Bapak dan Ibu di kertas (tulis tangan) lalu di upload.
1. Ada empat muatan tersebar masing-masing berada +q1 (4,0), +q2(0,3), +q3(4,3), dan -q4(0,0). hitung
a) gaya listrik yang dialami oleh muatan q4
b) medan listrik pada q4
c) potensial listrik pada q4
d) usaha untuk memindahkan semua muatan tersebut dari jauh tak hingga.
2. Coba analisis dimana perbedaan antara muatan diskrit dan kontinue.
Tulis jawaban Bapak dan Ibu di kertas (tulis tangan) lalu di upload.
Mohon maaf bapak nilai muatan nya tidak ada ya pak
atau dianggap Q1 = 1 C ya bapak
Jadi muatan Q nya jika tidak ada nilai, otomatis dianggap Q=1 ya pak?
iya mbak saya anggap 1 Coulomb
OK karena waktu kita terbatas, sampai ketemu minggu depan pada topik elektrodinamik
SELANJUTNYA F43 DIPROYEKSIKAN KE SUMBU X DAN Y, LALU TERAPKAN HUKUM PHYTAGORAS UNTUK MENGHITUNG GAYA TOTAL Q4
iya bapak
Iya pak, muatan nya tidak ada. Saya juga tadi bingung mencari muatannya bagaimana pak
mungkin semua muatan dianggap = q
Ya, saya setuju dengan Mbak Tr, bahwa muatan dianggap dengan Q
iya saya juga setuju, muatan mungkin dianggap q
saya spendapat kalau muatannya dianggap q
Iyaa benar saya setuju dengan mbak Tri, muatannya dianggap q.
izin berdiskusi bapak dan teman-teman

saya setuju dengan gambar mba nanda, arah gaya muatan di q4 nya seperti itu
saya sependapat dengan arah muatan di q4 seperti yang digambarkan
Saya setuju dengan gambar yang mba nanda buat
YA BETUL GAYA YANG DIALAMI OLEH MUATAN DI TITIK 0,0
In reply to Nanda Wiguna Putri Kusuma 2123025001
Re: RUANG DISKUSI
bagaimana cara mencari gaya listriknya teman-teman kalau dibuat muatan q1 sampai q4 adalah q?

Izin melanjutkan mbak Nanda


Benar atau tidak ya teman-teman gambarnya seperti itu?
Iyaa saya juga menggambarkan seperti ini mbak Eva
iya mba saya juga mebuatnya seperti itu
HARAP GAMBAR DI MUATANNYA, KARENA GAYA ITU DIALAMI OLEH MUATAN ITU SENDIRI
izin berdiskusi,
Apakah yg a hasilnya seperti ini ya teman-teman?

sepertinya saya salah arah gayanya ya harusnya F43 itu, tarik menarik
iya pak, arahnya menurut saya kurang tepat, F43 ke arah atas seharusnya
Iyaa pak Dheo itu bukankah seharusnya saling tarik menarik
iya pak dheo, karena q4 negatif dan q3 positif
Iya kak, menurut saya seharusnya tarik-menarik karna muatan (-) dan muatan (+)
iya pak, seharusnya F34 ke arah atas
,F34 arahnya keatas pak
F34 tarik menarik pak
Iya bisa pak Dheo menggunakan sudut juga
Mungkin seperti ini kali ya..

iya betul kak dheo seperti itu, tinggal masukkan saja nilai masing-masing F di atas pada rumus phytagoras yang di bawah itu
seperti ini, mohon dikoreksi teman-teman apabila salahSangat jelas kak Dheo, terimakasih sudah membantu menuliskan rumus dan urutan penyelesaiinnya
NAH INI MANTAP, TINGGAL EKSEKUSI MATEMATIKANYA SAJA, PASTI MUDAH MENYELESAIKANNYA
Apakah seperti ini Pak.


oK SIIP , SELANJUTNYA TERAPKAN hUKUM pHYTAGORAS UNTUK MENGHITUNG FAYA TOTALNYA
Seperti ini ya teman-teman?

Izin menjawab apakah seperti ini pak

untuk nilai f4 secara keseluruhan bagaimana mba meli?
Sepertinya dengan menjumlahkan F412 dengan F43 mbak Nanda
menjumlahkan f412 dengan F43 mbak
Baik Pak Syukron, saya coba mengerjakan dengan menggunakan nilai k= 1 dyne.cm^2.stst.C^2
Kalau begini bagaimana ya pak? nilai muatan saya anggap Q

Jadi muatannya tetap di simbolkan dengan q ya mbak karna tidak diketahui nilainya?
Iyaa sepertinya tetap q saja mbak Eva. Oleh karena itu nanti menjadi q^2.
iya eva, semua muatan dianggap = q
iya Mbak Eva, Q itu muatan
seperti ini ya mba Fatyn?

izin bertanya mba delis, apakah q3 dan q4 itu tidak tarik menarik? kalau iya harusnya terdapat gaya F43 juga
iya mba, terlewatkan untuk ditulis, terima kasih sudah diingatkan ya mba
oke sama-sama mba
Iyaa mbak Elsa mungkin memang terlewatkan atau lupa tdk ditulis oleh mbak Delis
BETUL, SELANJUTNYA GAYA TOTAL YANG DIALAMI OLEH Q4 DAPAT DIHITUNG DENGAN MUDAH
izin bertanya mba Fatyn, sepertinya untuk mencari gaya listrik pada muatan q4 tidak bisa langsung menggunakan rumus F4 = kqq/r^2 tetapi nanti menggunakan pytagoras sepertinya
Iya mbak Delis, itu baru 4,1 saja. Untum F di Q4 nanti bisa ditambahnkan F41, F42 dan F43
saya sependapat dengan mba delis, dimana untuk menghitung F4 itu menggunakan phytagoras karena gaya listrik yang sudah ditemukan (yaitu F41 dan F42) adalah vektor di mana untuk mencari resultan gaya listrik totalnya menggunakann rumus phytagoras
Iyaa, bukankah F4 nya dicari dengan menjumlahkan F412 dan F43 ya teman-teman?
menghitung F4 itu menggunakan phytagoras karena gaya listrik yang sudah ditemukan (yaitu F41 dan F42)
Apakah seperti ini teman-teman gambarnya?
Mohon dikoreksi

Saya juga sependapat dengan mbak meli, pemahaman saya seperti itu juga gambar nya
arah gayanya belum ditulis ya mba meli?
Iyaa mohon maaf mbak Delis, seharusnya dibuat lagi keterangannya ya mbak F41, F42 dan F43. Kalau hanya seperti itu terkesan seperti arah muatannya bukan arah gaya. Baik terimakasih atas masukannya.
INI GAYA YANG DIALAMI OLEH MUATAN Q4, SIIP
Iyaa benar pak, jadi ada F41, F42 dan F43.
Iya mbak nanda D, menurut saya seperti itu arah muatannya
iya benar mba nanda denny, saya juga seperti itu menggambarnya
jika seperti ini arah q4 nya teman temanINI ARAH GAYA ATAU MEDAN?
Seharusnya dituliskan ya pak arah gayanya
Mungkin perlu ditambahkan keterangannya mbak Nanda Denny bahwa itu arah gaya bukan arah muatan. Punya saya juga keliru krna tdk dituliskan kterangnnya Gaya F41, F42, F43.


