RUANG UPLOAD HASIL DISKUSI
Silahkan selesaikan kasus no 1 . selanjutnya silahkan kemukan kesulitan untuk kasus no selanjutnya
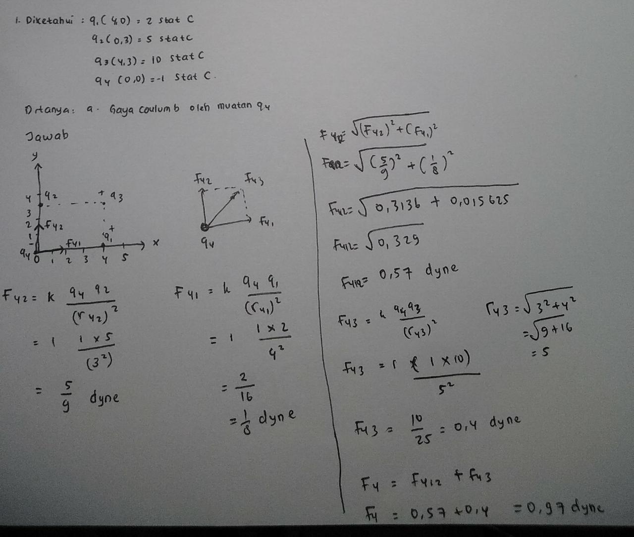
Langkah 1, gambar dulu posisi muatan masing-masing.
langkah 2, gambar arah gaya di muatan q4.
langkah 3 terapkan rumus yang digunakan
langkah 4 gunakan hukum pithagoras untuk menghitung gaya total di q4
langkah 2, gambar arah gaya di muatan q4.
langkah 3 terapkan rumus yang digunakan
langkah 4 gunakan hukum pithagoras untuk menghitung gaya total di q4
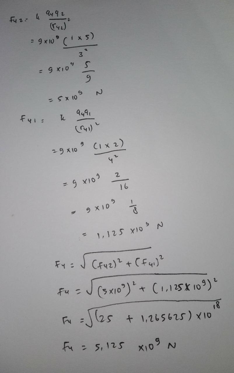
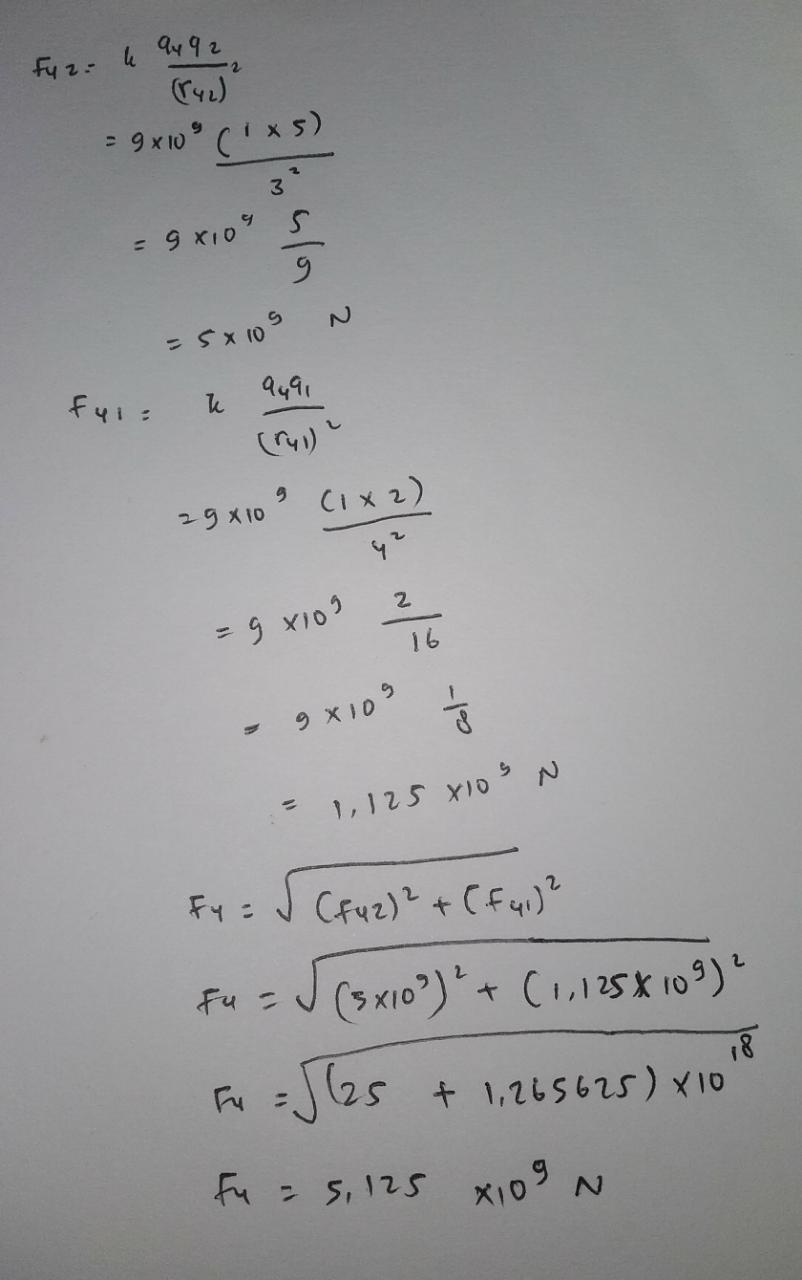
Apakah hasilnya dan perhitungannya seperti ini untuk mencari gaya coulumb yang dialami muatan q4?

ini delis menggunakan rumus resultan vektor ya?
salah satuan K nya kak harusnya tidak 9x10^9 tapi 1 dyne.cm2/Stat.C2
seperti ini mungkin ya?

Iya benar seperti ini

F43 kok tak ada, F43 diproyeksikan ke sumbu x dulu lalu dijumlahkan dengan F41 menghasilkan F31, selanjutnya F42 dijumlahkan secara vektor dengan F31
iya, konstantanya menggunakan yang ada di soal
masalahnya kalau dia ada sudut berarti kan menggunakan cos dan sin sepertinya...
karena sudut membentuk siku siku maka sudutnya 90 derajat
menurut saya no 1a begini Delis

nilai K di soal adalah 1 dyne.cm2/Stat.C2
Izin mengikuti diskusi pak
Izin menjawab no 1 yang b. Medan Listrik pada titik (0,0) atau muatan q4.
Hasilnya masih sama dengan gaya listrik pada titik (0,0) atau muatan q4.
Hasilnya masih sama dengan gaya listrik pada titik (0,0) atau muatan q4.
In reply to SYUKRON.FUAD21 SYUKRON.FUAD21
Re: RUANG UPLOAD HASIL DISKUSI
maaf bapak izin bertanya untuk gambar arah medannya seperti apa ya pak?
In reply to SYUKRON.FUAD21 SYUKRON.FUAD21
Re: RUANG UPLOAD HASIL DISKUSI
untuk arah medannya kemana pak?
izin ikut berdiskusi
izin mengirimkan jawaban yang menghitung Gaya Coulomb yang dialami oleh muatan q4.
In reply to SYUKRON.FUAD21 SYUKRON.FUAD21
Re: RUANG UPLOAD HASIL DISKUSI
saya setuju dengan jawaban dari pak syukron, perhitungannya dan langkah-langkahnya juga sudah benar
In reply to SYUKRON.FUAD21 SYUKRON.FUAD21
Re: RUANG UPLOAD HASIL DISKUSI
izin bertanya pak?
apakah F43 tidak diproyeksikan dulu karena dia berada di luar sumbu?
apakah F43 tidak diproyeksikan dulu karena dia berada di luar sumbu?
menurut saya tidak dheo karena sudut pada koordinat tersebut membentuk bangun datar persegi sehingga untuk gayanya dapat ditentukan dengan rumus phytagoras.
Saya sependapat mba, karena sudut trsbt sudah membentuk bangun datar persegi sehingga gayanya dapat dicari dengan rumus phytagoras
untuk gaya betuk, bagaimana untuk medan listriknya di titik (0,0), apakah arahnya sama? coba digambar
menurut saya sudah diproyeksikan dengan menggunakan rumus phytagoras saja kak dheo, jadi tidak perlu menggunakan sudut
bukannya rumus pythagoras itu untuk menentukan jarak antara q4 dan q3 ya?
Iya Dheo, phytagoras untuk menentukan jarak. Selain jarak, arah vektor juga harus diperhatikan dalam menghitung resultan. Karena pada soal ini kebetulan arah nya searah sehingga hanya perlu dijumlahkan saja
itu salah satu gaya yang dialami oleh q4, gaya gaya itu lalu diproyeksikan ke sumbu x dan y. jumlah gaya di sumbu x dan y diselesaikan dengan hukum Pythagoras.
In reply to DHEONARDO PUTRA PERDANA
Re: RUANG UPLOAD HASIL DISKUSI
kalau dia siku siku atau 90 derajat cukup pytagoras saja pak
betul, tampa gambar lagi, arahnya kemana Mas?
menggunakan rumus phytagoras pak
In reply to DHEONARDO PUTRA PERDANA
Re: RUANG UPLOAD HASIL DISKUSI
F43 nanti dengan F412 pak kan nantinya searah. vektor jika searah maka tinggal ditambahkan saja
Iya saya setuju dengan pak syukron. Jadi tidak semua vektor harus menggunakan cos sin tapi harus diperhatikan dulu arah vektornya kemana
In reply to SYUKRON.FUAD21 SYUKRON.FUAD21
Re: RUANG UPLOAD HASIL DISKUSI
arah F43 kemana pak?
kan kalau arah F41 itu di sumbu x
sedangkan arah F42 di sumbu y..
itu yang saya bingung pak hehehe..
soalnya arah F43 kan miring, berarti tidak mungkin 90 derajat kan pak?
kan kalau arah F41 itu di sumbu x
sedangkan arah F42 di sumbu y..
itu yang saya bingung pak hehehe..
soalnya arah F43 kan miring, berarti tidak mungkin 90 derajat kan pak?
seperti ini mungkin pak

In reply to DHEONARDO PUTRA PERDANA
Re: RUANG UPLOAD HASIL DISKUSI
miring pak, diagonal. kalau bapak mau menghitung F41 dan F43 dulu ga apa apa, pakai yang ada cos nya terus nanti cari F42 dan F43 juga, ini juga nanti pakai yang ada cos nyatapi ribet, terus nanti hasil akhirnya di cari lagi resultannya pakai yang ada cosnya. panjang dan ribet hasilnya nanti sama saja, dengan cara yang saya lakukan, kalau tidak percaya silahkan dibuktikan
Arahnya seperti yang digambar delis, Dheo. ke arah muatan 3. Memang bukan 90 derajat, tapi itu kan kalau digambar, koordinasinya jadi bentuk persegi panjang dan jarak antara muatan 4,1, 3 sudah siketahui. Jadi untuk menentukan jarak muatan 4 dan 3 bisa menggunakan phitagoras saja
Untuk arah gaya di muatan 4 apakah seperti ini ya pak?

gambar arah gaya di muatan q4. Jika keliru mohon informasi yang benarnya Bapak dan teman-teman

atau

Ijin mengikuti diskusi, begini buakn ya?

itu yang kuat medan listriknya ya mba?
Iya Delis, karena salah satu muatannya adalah negatif dan yang lainnya posiitif
iya Mba, karena salah satu muatannya adalah negatif dan yang lainnya posiitif
Apakah hasilnya dan perhitungannya seperti ini untuk mencari gaya coulumb yang dialami muatan q4?

Tanda minusnya (-) tidak di tulis ya delis?
menurut saya tanda minus untuk menunjukkan muatan positif atau negatif Mbak Eva
Jadi tidak di ikut sertakan tidak apa-apa ya mbak?
Diisertakan Eva, untuk mengetahui muatan tersebut negatif atau positif. Tetapi tidak mempengaruhi operasi hitung matematikanya
iya saya setuju dengan mba Fatyn, memang benar tanda positif negatif itu tetap dituliskan untuk mengetahui arah dari muatan, tetapi tidak diikutkan dalam operasi perhitungan matematika (tidak mempengaruhi perhitungan matematikanya)
disertakan untuk mengetahui muatan tersebut negatif atau positif.
Tandanya disertakan untuk mengetahui muatan tersebut positif atau negatif
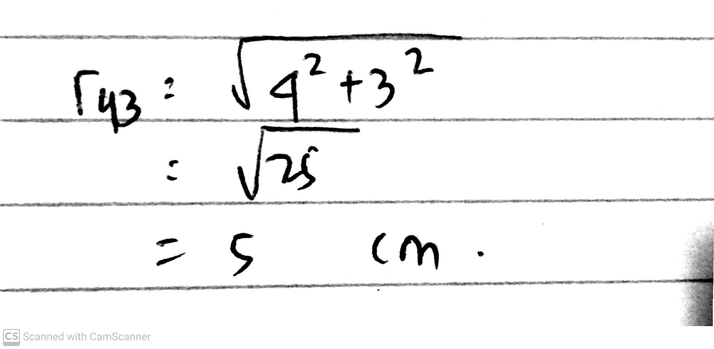
Jangan lupa mencari F(4,3) nya delis, karena itu sudah diketahui r nya menggunakan rumus phytagoras
iya benar, r untuk F43 dapat dicari menggunakan rumus phytagoras.
iya terima kasih atas informasinya mba fatyn dan mba tri, sudah saya hitung F 43 nya. dengan menggunakan rumus phytagoras maka jarak atau r muatan 4 dan 3 adalah 5
k nya tidak menggunakan 9.10^9 mba tetapi 1 dyne di soal
In reply to Nanda Wiguna Putri Kusuma 2123025001
Re: RUANG UPLOAD HASIL DISKUSI
by EVA. ZELVIANA21 -
iya mbak benar, k nya menggunakan nilai 1 dyne
berarti tinggal menambahkan untuk arah gaya muatan 3 dan 4 menggunakan garis phytagoras ya teman-teman untuk pengukuran jaraknya?
In reply to Nanda Wiguna Putri Kusuma 2123025001
Re: RUANG UPLOAD HASIL DISKUSI
iya betul sekali mba nanda, untuk mencari gaya coulomb pada muatan 3 dan 4 menggunakann rumus phytagoras
Rumus phytagoras untuk menentukan jarak antara muaatan 4 dan 3 Elsa. Kalau mencari gaya tetap menggunakan rumus yang berlaku
Iyaa saya setuju dengan mbak Fatyn. Untuk mencari gaya menggunakan rumus seperti yang telah dijelaskan oleh kelompok 1, sementara untuk mencari jarak dari muatan 3 dan 4 dapat dilakukan dengan menggunakan rumus phytagoras.
Berikut perhitungan jarak menggunakan rumus phytagoras yang dimaksud.
In reply to Nanda Wiguna Putri Kusuma 2123025001
Re: RUANG UPLOAD HASIL DISKUSI
untuk nilai jaraknya bisa menggunakan titik koordinat mba
iya dari titik koordinatkan diketahui jarak q4 dengan q2, jarak q4 dengan q1, oleh karena itu untuk mengetahui jarak q3 dengan q4 menggunakan rumus phyatgoras juga
Dari titik koordinat kita mengetahui jarak antara q4 dgn q2, antara q4 dgn q1. Untuk mencari jarak q3 dengan q4 menggunakan rumus phytagoras
In reply to Nanda Wiguna Putri Kusuma 2123025001
Re: RUANG UPLOAD HASIL DISKUSI
by EVA. ZELVIANA21 -
iya mbak menggunakan rumus phytagoras, jadi jarak q4-1 = 4 cm, jarak q4-q3 = 5 cm
In reply to Nanda Wiguna Putri Kusuma 2123025001
Re: RUANG UPLOAD HASIL DISKUSI
iay betul sekali mba
Saya sependapat dengan gambar yang pak syukron tuliskan. Karena itu menggunakan titik (4,0), (0,3), (4,3), (0,0), maka jika digambar seperti itu

Kelompok 1
saya setuju dengan gambar pak syukron, berdasarkan titik koordinat yang ada pada soal, maka gambar posisi muatannya akan seperti itu.
iya benar sekali Mba
In reply to SYUKRON.FUAD21 SYUKRON.FUAD21
Re: RUANG UPLOAD HASIL DISKUSI
Saya setuju dengan gambar yang telah Pak Syukron buat. Jika dilihat berdasarkan titik koordinatnya, maka gambar posisi muatan q1, q2, q3 dan q4 nya akan seperti itu.

In reply to SYUKRON.FUAD21 SYUKRON.FUAD21
Re: RUANG UPLOAD HASIL DISKUSI
Saya setuju dengan gambar pak syukron, beserta koordinatnya
harap digamabar arah gaya pada q4, arah medan di muatan q4,
Begini bukan ya pak arah medannya?

Ok karena waktu kita terbatas, sampai jumpa minggu depan dalam kajian medan listrik oleh muatan non diskrit.
Baik bapak, terimakasih
In reply to I Wayan Distrik
Re: RUANG UPLOAD HASIL DISKUSI
In reply to Nanda Wiguna Putri Kusuma 2123025001
Re: RUANG UPLOAD HASIL DISKUSI
In reply to Nanda Wiguna Putri Kusuma 2123025001
Re: RUANG UPLOAD HASIL DISKUSI
by EVA. ZELVIANA21 -
Iya mbak, karena pada soal kita menggunakan nilai k nya 1 dyne, maka perhitungan nya kurang lebih seperti ini


