DISKUSI TAHAP 1

Saya setuju dengan jawaban Delis. Untuk mencari jawaban No 1, menggunakan konsep Gaya Coulomb. Gaya Coulomb (F) adalah gaya yang ditimbulkan oleh adanya interaksi antara dua muatan yang dipisahkan pada jarak tertentu yang dirumuskan
![]()
di mana q1 adalah muatan 1 (C), q2 adalah muatan 2 (C), r adalah jarak kedua muatan, dan k adalah konstanta.
Berikut adalah untuk jawaban no 1

Mohon maaf mba Elsa, mba Tri, dan Mba Eva selaku kelompok 1 bersama dengan saya..
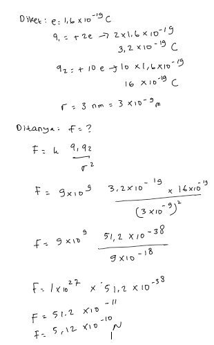
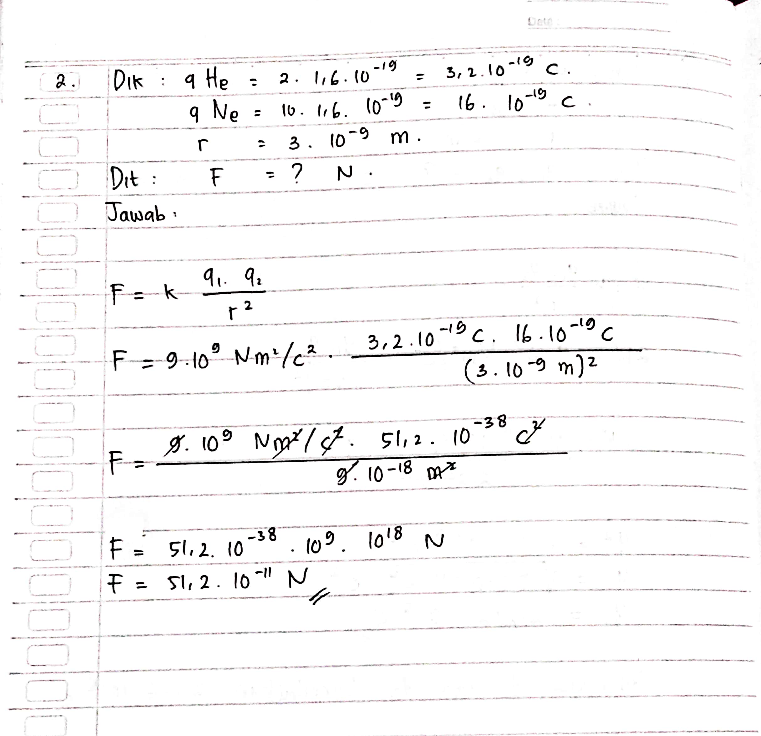
Bukannya kalau 2e itu berarti = 2(1,6 x 10^-19) = 3,2 x 2.10^-19
Bukankah begitu ya?
kemudian untuk jaraknya harus diubah menjadi satuan meter, dimana 1nm = 10^-9 m, supaya lebih mudah dalam perhitungannya.
Dengan memasukan rumus gaya listrik yang menggunakan Hukum Coulomb.
Sehingga hasil dari q nya adalah akar 5 x 10^-5
namun sebaiknya dalam pengerjaan tetap ditulisakan satuan dari masing-masing nya, agar lebih jelas.

Jawaban mba Nanda menurut saya sudah baik dikarenakan akarnya dihabiskan. Sehingga hasilnya dapat mempermudah untuk membuktikan jawabannya jika mencari F nya dengan muatan 2,236 x 10^5 C
Muatan masing masing partikel tersebut adalah : 10⁻⁵√5 C
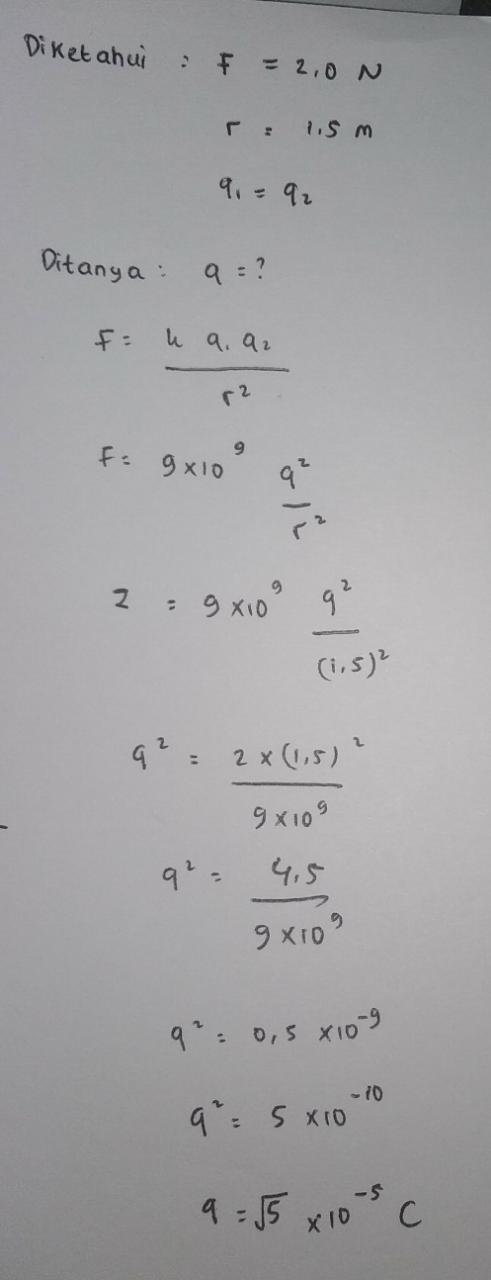
Diketahui :
F = Gaya Coulomb = 2 N
r = Jarak = 1,5 m
Ditanyakan :
q1 dan q2 = besar muatan 1 dan 2 = ...?
Penyelesaian :
r² x F = K x q1 x q2
1,5² x 2 = 9 x 10⁹ x (q1 xq2)
2,25 X 2 = 9 x 10⁹ x q²
4,5 = 9 x 10⁹ x q²
q² = 4,5/9 x 10⁹
q² = 45 x 10⁻¹/9 x 10⁹
q² = 5 x 10⁻¹⁰
q = √5 x 10⁻¹⁰ C
q = 10⁻⁵√5 C
apakah nomor 6 itu segitiga sama kaki?
Kalau dilihat dari sudutnya iya pak Dheo, jadi panjang sisi miringnya sama
Iya benarIzin menajwab soal no 1 pak



Jawaban no.1 dari kelompok 1
2e itu yang benar
2 x 1,6 x 10^-19 atau 2 (1,6 x 10^-19) yang mana yang benar ya pak?
Izin menajwab soal no 2 pak


Jawaban nomor 2, dari kelompok 1
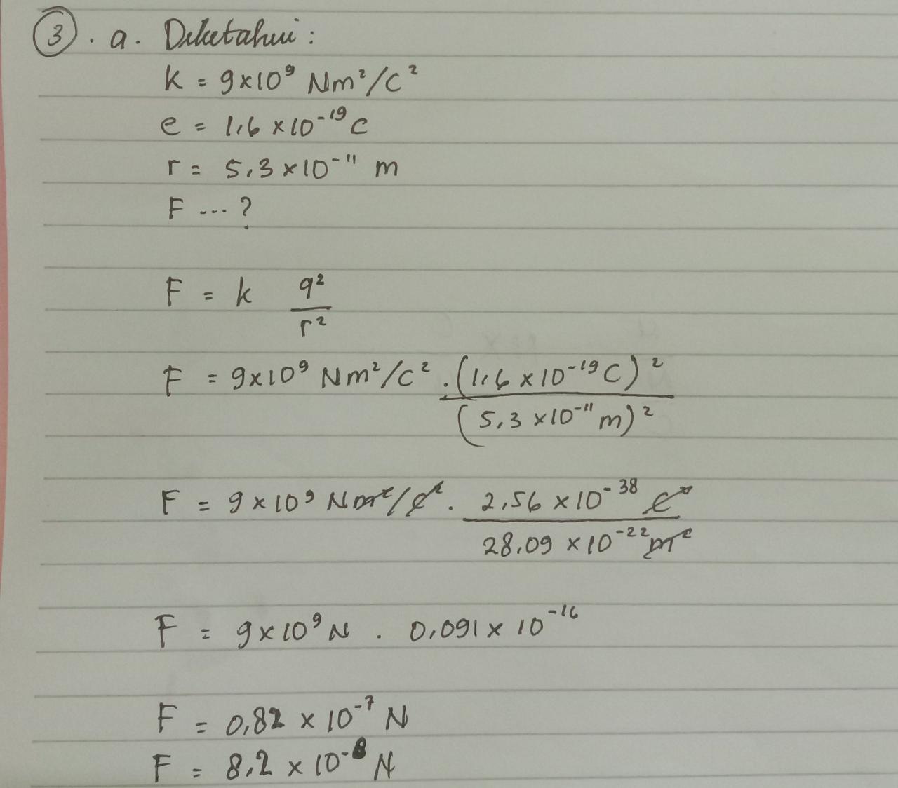
Ijin menjawab pertanyaan No 3.

Re: DISKUSI TAHAP 1
Re: DISKUSI TAHAP 1


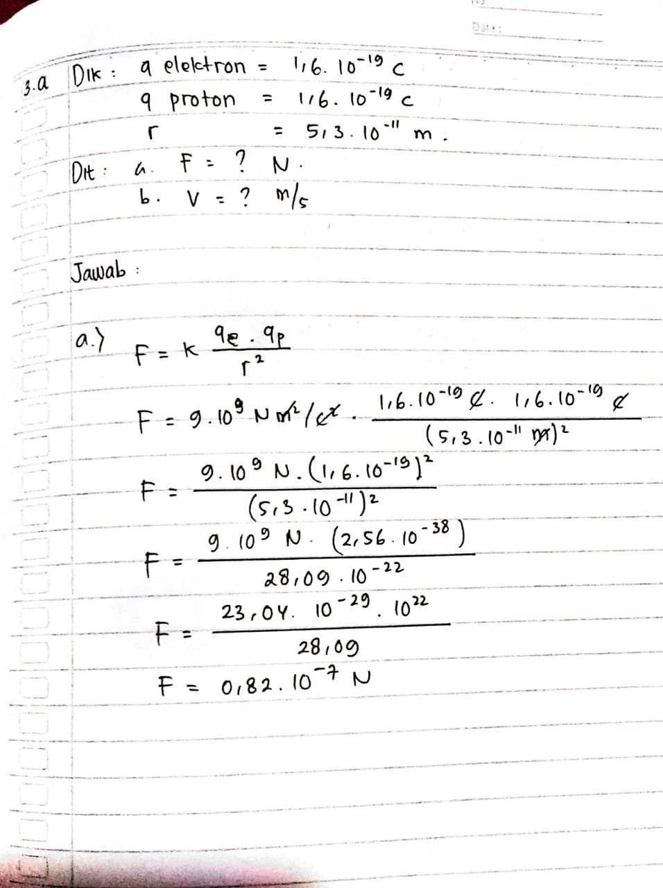
jawaban no 3 a dari kelompok 1

jawaban 3b dari kelompok 1
Berikut jawaban No 2

Izin menjawab soal no 3a

Izin menjawab no 3b

izin menjawab nomor 2
